Beta: SMath Studio 0.99.7219 (07 October 2019) - Messages
SMath Studio
Tiny, but powerful mathematical program with WYSIWYG editor and complete units of measurements support.
Download
SMathStudioDesktop.0_99_7219.Mono.tar.gz (1.4 MiB) downloaded 1847 time(s).
SMathStudioDesktop.0_99_7219.Setup.msi (2.27 MiB) downloaded 5213 time(s).
A few comments:
It would be nice to set the default text. If I change it, it will not remain as the default.
The default font size now changes correctly, however it remains shown as 10 (graphically) in the ribbon.
When using the "show description" feature. The text returns down a line when using " or ' characters.
Edit:
I don't think the font style of "descriptions" can be changed.
WroteI don't think the font style of "descriptions" can be changed.
I use monospace characters in my documents; so I stick with courier new, fixedsys, typewriter fonts. New created description texts in 7219 always have Arial font and it can't be changed. I need to copy and modify a variable from earlier versions which has precreated description text.
And font can be changed to anything with a text editor like notepad.

Test about solve.sm (5.89 KiB) downloaded 934 time(s).
WroteYou can also use FindRoot from the NonLinearSolvers plugin, well documented, for details, in Martin Kraska guide
sergio
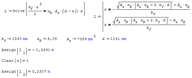
Thank you! this way is very good. But I find another problem.

Test about solve.sm (6.49 KiB) downloaded 944 time(s).
Therefore, you have to Clear(x) before you can solve for x again. Just as demonstrated in the Maxima example above. There, the solution is assigned explicitly using Assign() from the Maxima-Plugin
See Interactive Handbook> Function Index> Assign or Solve
WroteFindRoot performs implicit assignment to x.
Therefore, you have to Clear(x) before you can solve for x again. Just as demonstrated in the Maxima example above. There, the solution is assigned explicitly using Assign() from the Maxima-Plugin
See Interactive Handbook> Function Index> Assign or Solve
thank you sir. I solve my problem!
WroteI solved my problem !
Read carefully the attached.
Solve Given_Find [System Demo epsilon].sm (25.89 KiB) downloaded 778 time(s).
WroteRead carefully the attached.
Read even more carefully the attached.
All in all: Smath solvers has solved all Mathcad 11 great projects.
The bugger in Smath FindRoot is 'ε'
i.e: needed or detrimental [detrimental in attached Butler].
To make it clear, Mathcad Given Find is Mathsoft proprietary.
It has no competition in difficult applications.
Some projects toke weeks, from brain storm collaboration.
Cheers ... Enjoy Butler.
Solve Given_Find [CO2_6179].sm (34.34 KiB) downloaded 803 time(s).
WroteWroteRead carefully the attached.
Read even more carefully the attached.
All in all: Smath solvers has solved all Mathcad 11 great projects.
The bugger in Smath FindRoot is 'ε'
i.e: needed or detrimental [detrimental in attached Butler].
To make it clear, Mathcad Given Find is Mathsoft proprietary.
It has no competition in difficult applications.
Some projects toke weeks, from brain storm collaboration.
Cheers ... Enjoy Butler.
Solve Given_Find [CO2_6179].sm (34.34 KiB) downloaded 803 time(s).
Hello Jean,
It seems something is wrong here. Results seems to be doubtful and I think epsilon is missing as a third argument in FindRoot()

If I add it

Playing with the fourth argument will give

Moreover, roots() will fail

Regards,
Radovan
WroteHello Jean,
It seems something is wrong here.
Quite right Radovan, many things don't cut the mustard !
1. "roots" fails in your version, but superb in my native SS 6179.
2. "epsilon" deteriorates the solver in this FindRoot application.
3. The system reacts like proportional/commutative wrt reactants.
What matters is the balance [Alkalinity] 0.0000012
sounds pretty good to me ? Should revisit the paper problem,
Reference: Butler, Carbon Dioxide Equilibria, Prob. 2-11, pg 41
WroteReference: Butler, Carbon Dioxide Equilibria, Prob. 2-11, pg 41
I could not retrieve the very original.
Here is something.
https://www.isws.illinois.edu/pubdoc/CR/ISWSCR-171.pdf
- New Posts
- No New Posts


