Beta: SMath Studio 0.99.7219 (07 October 2019) - Сообщения
SMath Studio
Компактная, но мощная математическая программа с графическим редактором и полной поддержкой единиц измерения.
Предоставляет множество вычислительных возможностей и обладает богатым пользовательским интерфейсом, переведённым примерно на 40 различных языков. К тому же, в приложение встроен подробный математический справочник.
Программа может быть легко дополнена новой функциональностью основываясь на ваших требованиях. Встроенный менеджер расширений позволяет получить доступ к сотням официальных и сторонних ресурсов следующих типов: примеры использования, дополнения, приложения на основе SMath Viewer, заготовки, языковые переводы интерфейса, интерактивные книги, справочники и пособия.
Изменения, входящие в версию 0.99.7219
Улучшения
- Arial made a default font for Text Region.
Исправления
- Changing font Familty and font size for several selected Regions fixed;
- Fixed exception happens on some environments when rendering font names in font selector;
- Fixed issue related to empty Descriptions on file open;
- Select All supported inside embedded Regions now.
Разное
- Worksheet files layout updtaed to be supported by earlier SMath Studio versions;
- The following functions allows to calculate 0^0 now: sum(4), product(4), eval(1);
- Situations with unwanted change of font options fixed.
Скачать
SMathStudioDesktop.0_99_7219.Mono.tar.gz (1,4 МиБ) скачан 2042 раз(а).
SMathStudioDesktop.0_99_7219.Setup.msi (2,27 МиБ) скачан 5539 раз(а).
A few comments:
It would be nice to set the default text. If I change it, it will not remain as the default.
The default font size now changes correctly, however it remains shown as 10 (graphically) in the ribbon.
When using the "show description" feature. The text returns down a line when using " or ' characters.
Edit:
I don't think the font style of "descriptions" can be changed.
WroteI don't think the font style of "descriptions" can be changed.
I use monospace characters in my documents; so I stick with courier new, fixedsys, typewriter fonts. New created description texts in 7219 always have Arial font and it can't be changed. I need to copy and modify a variable from earlier versions which has precreated description text.
And font can be changed to anything with a text editor like notepad.

Test about solve.sm (5,89 КиБ) скачан 1154 раз(а).
WroteYou can also use FindRoot from the NonLinearSolvers plugin, well documented, for details, in Martin Kraska guide
sergio
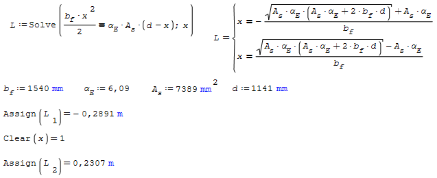
Thank you! this way is very good. But I find another problem.

Test about solve.sm (6,49 КиБ) скачан 1177 раз(а).
Therefore, you have to Clear(x) before you can solve for x again. Just as demonstrated in the Maxima example above. There, the solution is assigned explicitly using Assign() from the Maxima-Plugin
See Interactive Handbook> Function Index> Assign or Solve
WroteFindRoot performs implicit assignment to x.
Therefore, you have to Clear(x) before you can solve for x again. Just as demonstrated in the Maxima example above. There, the solution is assigned explicitly using Assign() from the Maxima-Plugin
See Interactive Handbook> Function Index> Assign or Solve
thank you sir. I solve my problem!
WroteI solved my problem !
Read carefully the attached.
Solve Given_Find [System Demo epsilon].sm (25,89 КиБ) скачан 986 раз(а).
WroteRead carefully the attached.
Read even more carefully the attached.
All in all: Smath solvers has solved all Mathcad 11 great projects.
The bugger in Smath FindRoot is 'ε'
i.e: needed or detrimental [detrimental in attached Butler].
To make it clear, Mathcad Given Find is Mathsoft proprietary.
It has no competition in difficult applications.
Some projects toke weeks, from brain storm collaboration.
Cheers ... Enjoy Butler.
Solve Given_Find [CO2_6179].sm (34,34 КиБ) скачан 1045 раз(а).
325 сообщений из 2 052 понравились и 1 не понравились пользователям.
Группа: Moderator
WroteWroteRead carefully the attached.
Read even more carefully the attached.
All in all: Smath solvers has solved all Mathcad 11 great projects.
The bugger in Smath FindRoot is 'ε'
i.e: needed or detrimental [detrimental in attached Butler].
To make it clear, Mathcad Given Find is Mathsoft proprietary.
It has no competition in difficult applications.
Some projects toke weeks, from brain storm collaboration.
Cheers ... Enjoy Butler.
Solve Given_Find [CO2_6179].sm (34,34 КиБ) скачан 1045 раз(а).
Hello Jean,
It seems something is wrong here. Results seems to be doubtful and I think epsilon is missing as a third argument in FindRoot()

If I add it

Playing with the fourth argument will give

Moreover, roots() will fail

Regards,
Radovan
WroteHello Jean,
It seems something is wrong here.
Quite right Radovan, many things don't cut the mustard !
1. "roots" fails in your version, but superb in my native SS 6179.
2. "epsilon" deteriorates the solver in this FindRoot application.
3. The system reacts like proportional/commutative wrt reactants.
What matters is the balance [Alkalinity] 0.0000012
sounds pretty good to me ? Should revisit the paper problem,
Reference: Butler, Carbon Dioxide Equilibria, Prob. 2-11, pg 41
WroteReference: Butler, Carbon Dioxide Equilibria, Prob. 2-11, pg 41
I could not retrieve the very original.
Here is something.
https://www.isws.illinois.edu/pubdoc/CR/ISWSCR-171.pdf
- Новые сообщения
- Нет новых сообщений


