1 Pages (9 items)
Why we have an error in this SM-sheet - In Mathcad Prime all is OK - Messages
Predochistka.sm (54.45 KiB) downloaded 828 time(s).
t is undefined. And why do you have [SO₄‾‾].исх as an argument twice?
Hi. For starting, the vertical bars in the while condition are not for absolute value, but for determinant.
Best regards.
Alvaro.
Best regards.
Alvaro.
WroteHi. For starting, the vertical bars in the while condition are not for absolute value, but for determinant.
Best regards.
Alvaro.
Thanks, Alvaro!
I have corrected but new error message
Predochistka.sm (59.97 KiB) downloaded 798 time(s).
Hi Valery. I guess that it has some minor issues about units and with variable redefinitions inside of the body of procedures.
Predochistka.sm (65.34 KiB) downloaded 812 time(s).
Best regards.
Alvaro.
Predochistka.sm (65.34 KiB) downloaded 812 time(s).
Best regards.
Alvaro.
1 users liked this post
Valery Ochkov 2023/12/14 15:09:00
WroteHi Valery. I guess that it has some minor issues about units and with variable redefinitions inside of the body of procedures.
Predochistka.sm (65.34 KiB) downloaded 812 time(s).
Best regards.
Alvaro.
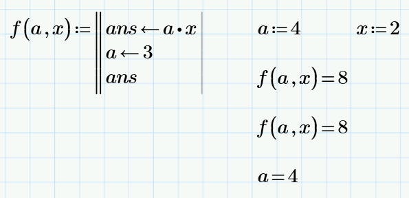
I call the function one more and get an error. Why?

Predochistka-Err.sm (62.61 KiB) downloaded 812 time(s).
1 Pages (9 items)
- New Posts
- No New Posts



