1 Pages (9 items)
Why we have an error in this SM-sheet - In Mathcad Prime all is OK - Messages
#1 Posted: 12/12/2023 9:45:18 PM
Predochistka.sm (54.45 KiB) downloaded 1048 time(s).
#2 Posted: 12/12/2023 10:47:04 PM
t is undefined. And why do you have [SO₄‾‾].исх as an argument twice?
#3 Posted: 12/13/2023 12:21:50 AM
Hi. For starting, the vertical bars in the while condition are not for absolute value, but for determinant.
Best regards.
Alvaro.
Best regards.
Alvaro.
#4 Posted: 12/14/2023 2:10:49 AM
WroteHi. For starting, the vertical bars in the while condition are not for absolute value, but for determinant.
Best regards.
Alvaro.
Thanks, Alvaro!
I have corrected but new error message
Predochistka.sm (59.97 KiB) downloaded 1034 time(s).
#5 Posted: 12/14/2023 9:55:40 AM
Hi Valery. I guess that it has some minor issues about units and with variable redefinitions inside of the body of procedures.
Predochistka.sm (65.34 KiB) downloaded 1038 time(s).
Best regards.
Alvaro.
Predochistka.sm (65.34 KiB) downloaded 1038 time(s).
Best regards.
Alvaro.
1 users liked this post
Valery Ochkov 12/14/2023 3:09:00 PM
#6 Posted: 12/14/2023 4:10:57 PM
WroteHi Valery. I guess that it has some minor issues about units and with variable redefinitions inside of the body of procedures.
Predochistka.sm (65.34 KiB) downloaded 1038 time(s).
Best regards.
Alvaro.
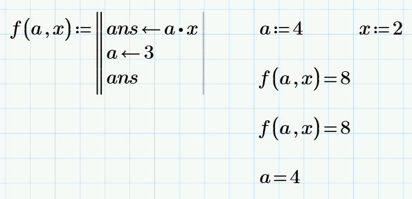
I call the function one more and get an error. Why?

Predochistka-Err.sm (62.61 KiB) downloaded 1032 time(s).
#7 Posted: 12/14/2023 6:47:46 PM
#8 Posted: 12/15/2023 12:12:53 AM
#9 Posted: 12/15/2023 2:50:01 AM
1 Pages (9 items)
- New Posts
- No New Posts



