1 Pages (5 items)
Isotherm - How to draw it in h-s diagram - Messages
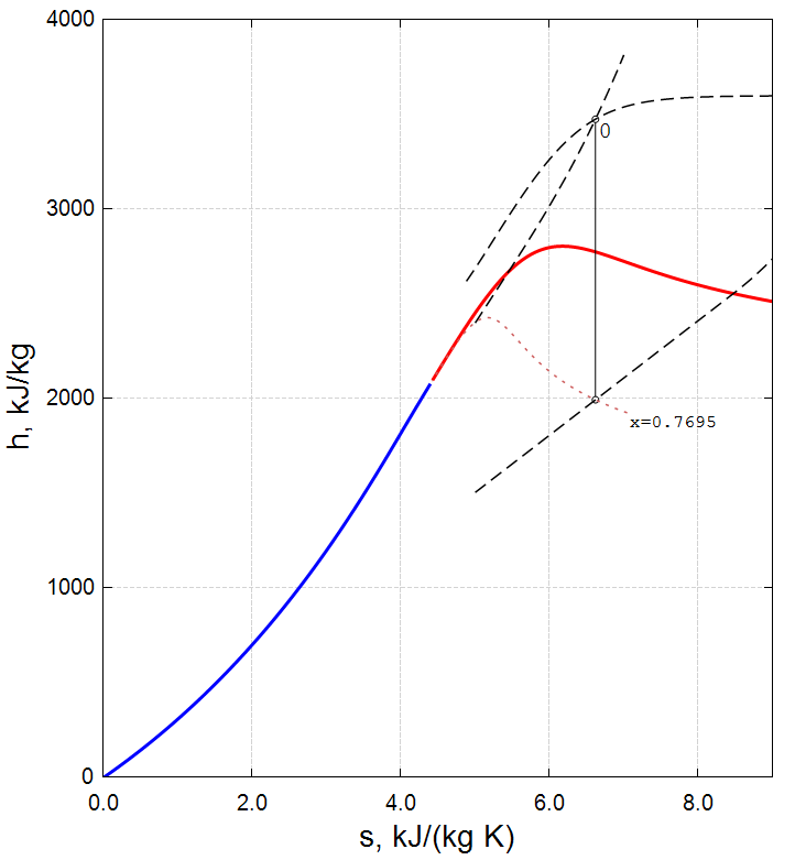
Hi. Comparing the result with the other water compound implementation.


h-s-diagram-Steam.sm (28.14 KiB) downloaded 834 time(s).
Best regards.
Alvaro.


h-s-diagram-Steam.sm (28.14 KiB) downloaded 834 time(s).
Best regards.
Alvaro.
1 users liked this post
Valery Ochkov 2024/5/21 01:34:00
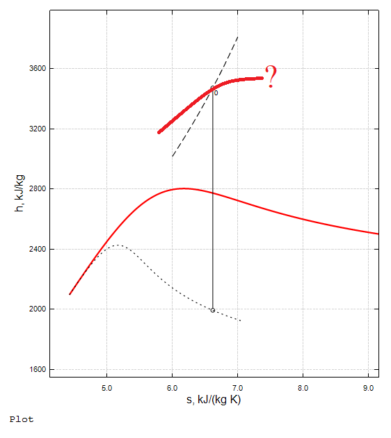
My solution. Now I'm thinking about isochore and second isotherm.
h-s-diagram-Steam.sm (31.02 KiB) downloaded 891 time(s).

h-s-diagram-Steam.sm (31.02 KiB) downloaded 891 time(s).

1 Pages (5 items)
- New Posts
- No New Posts


