1 страниц (5 вхождений)
Isotherm - How to draw it in h-s diagram - Сообщения
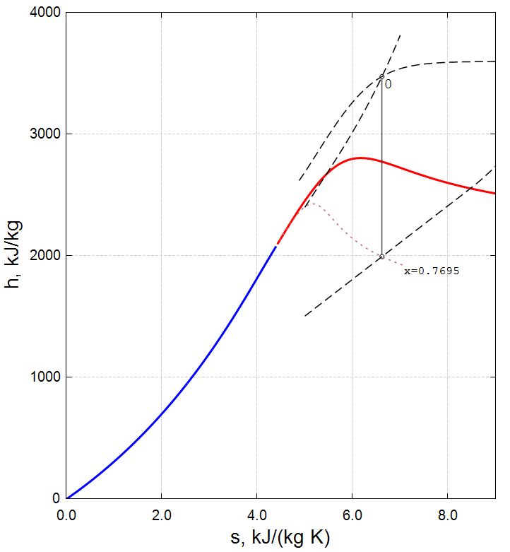
Hi. Comparing the result with the other water compound implementation.


h-s-diagram-Steam.sm (28,14 КиБ) скачан 1163 раз(а).
Best regards.
Alvaro.


h-s-diagram-Steam.sm (28,14 КиБ) скачан 1163 раз(а).
Best regards.
Alvaro.
1 пользователям понравился этот пост
Valery Ochkov 21.05.2024 01:34:00
My solution. Now I'm thinking about isochore and second isotherm.
h-s-diagram-Steam.sm (31,02 КиБ) скачан 1234 раз(а).

h-s-diagram-Steam.sm (31,02 КиБ) скачан 1234 раз(а).

1 страниц (5 вхождений)
- Новые сообщения
- Нет новых сообщений


