1 Pages (4 items)
3D plot CKO(a, b) - I have two 2D plots, but not one 3D plot - Messages
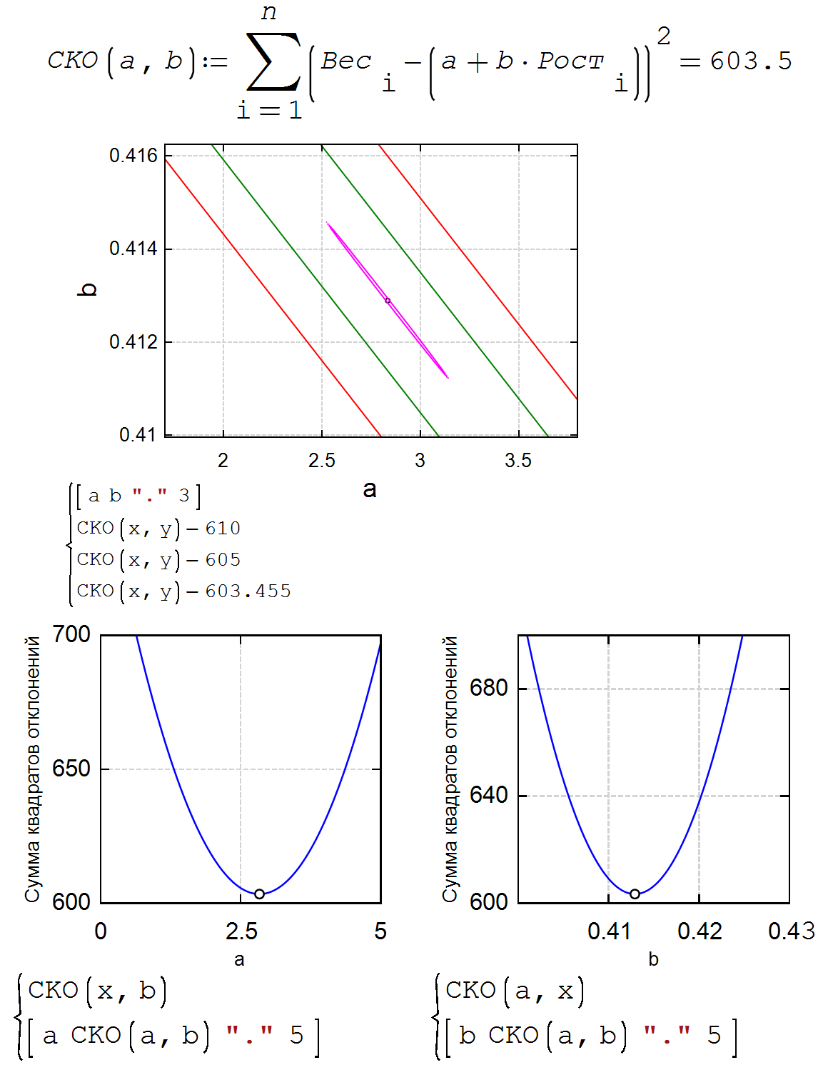
I have two 2D plots, but not one 3D plot with the minimum point.
Help please!
6-1-Mister-Class.sm (21.77 KiB) downloaded 767 time(s).
Help please!
6-1-Mister-Class.sm (21.77 KiB) downloaded 767 time(s).
Hi Valery. This is a way.
6-1-Mister-Class.sm (27.39 KiB) downloaded 761 time(s).
Best regards.
Alvaro.
6-1-Mister-Class.sm (27.39 KiB) downloaded 761 time(s).
Best regards.
Alvaro.
1 users liked this post
Valery Ochkov 2023/10/12 05:43:00
WroteHi Valery. This is a way.
6-1-Mister-Class.sm (27.39 KiB) downloaded 761 time(s).
Best regards.
Alvaro.
Thanks, but better so - a counter plot
6-1-Mister-Class.sm (30.03 KiB) downloaded 749 time(s).

Hi. Choosing CKO as z and using small ranges.
6-1-Mister-Class 3D.sm (41.91 KiB) downloaded 768 time(s).

Best regards.
Alvaro.
6-1-Mister-Class 3D.sm (41.91 KiB) downloaded 768 time(s).

Best regards.
Alvaro.
1 users liked this post
Valery Ochkov 2023/10/12 14:53:00
1 Pages (4 items)
- New Posts
- No New Posts