1 Pages (5 items)
equation solve problem - Messages
i want to solve below problem
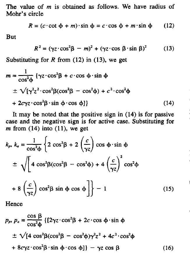
m, ka, pa

i try to solve this problem
but i can't get result.
20230614_lateral earth pressure.sm (100.47 KiB) downloaded 786 time(s).
Thanks in advance
m, ka, pa

i try to solve this problem
but i can't get result.
20230614_lateral earth pressure.sm (100.47 KiB) downloaded 786 time(s).
Thanks in advance
Hi. Maybe the attached helps, but's hard to know. At the eqn 16 I count two open [ and only one closed ].
20230614_lateral earth pressure.sm (74.8 KiB) downloaded 812 time(s).
Best regards.
Alvaro.
20230614_lateral earth pressure.sm (74.8 KiB) downloaded 812 time(s).
Best regards.
Alvaro.
WroteMy suggested solution is in the attached.
Get more accurate solutions from roots(,,,)
LateralEarthPressure.sm (13.13 KiB) downloaded 745 time(s).
Hi. Another way, plugin-less version. Have the advantage that can recognize the active and passive cases.

20230614_lateral earth pressure polyroots.sm (77.28 KiB) downloaded 777 time(s).
Best regards.
Alvaro.
20230614_lateral earth pressure polyroots.sm (77.28 KiB) downloaded 777 time(s).
Best regards.
Alvaro.
1 Pages (5 items)
- New Posts
- No New Posts