1 страниц (5 вхождений)
equation solve problem - Сообщения
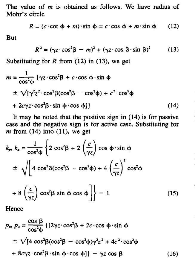
i want to solve below problem
m, ka, pa

i try to solve this problem
but i can't get result.
20230614_lateral earth pressure.sm (100,47 КиБ) скачан 1085 раз(а).
Thanks in advance
m, ka, pa

i try to solve this problem
but i can't get result.
20230614_lateral earth pressure.sm (100,47 КиБ) скачан 1085 раз(а).
Thanks in advance
Hi. Maybe the attached helps, but's hard to know. At the eqn 16 I count two open [ and only one closed ].
20230614_lateral earth pressure.sm (74,8 КиБ) скачан 1102 раз(а).
Best regards.
Alvaro.
20230614_lateral earth pressure.sm (74,8 КиБ) скачан 1102 раз(а).
Best regards.
Alvaro.
WroteMy suggested solution is in the attached.
Get more accurate solutions from roots(,,,)
LateralEarthPressure.sm (13,13 КиБ) скачан 1033 раз(а).
Hi. Another way, plugin-less version. Have the advantage that can recognize the active and passive cases.

20230614_lateral earth pressure polyroots.sm (77,28 КиБ) скачан 1055 раз(а).
Best regards.
Alvaro.
20230614_lateral earth pressure polyroots.sm (77,28 КиБ) скачан 1055 раз(а).
Best regards.
Alvaro.
1 страниц (5 вхождений)
- Новые сообщения
- Нет новых сообщений