1 Pages (5 items)
equation solve problem - Messages
#1 Posted: 6/14/2023 9:12:21 PM
i want to solve below problem
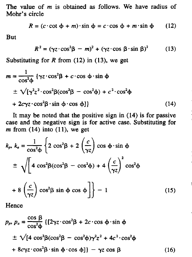
m, ka, pa

i try to solve this problem
but i can't get result.
20230614_lateral earth pressure.sm (100.47 KiB) downloaded 917 time(s).
Thanks in advance
m, ka, pa

i try to solve this problem
but i can't get result.
20230614_lateral earth pressure.sm (100.47 KiB) downloaded 917 time(s).
Thanks in advance
#2 Posted: 6/14/2023 10:48:20 PM
Hi. Maybe the attached helps, but's hard to know. At the eqn 16 I count two open [ and only one closed ].
20230614_lateral earth pressure.sm (74.8 KiB) downloaded 938 time(s).
Best regards.
Alvaro.
20230614_lateral earth pressure.sm (74.8 KiB) downloaded 938 time(s).
Best regards.
Alvaro.
#3 Posted: 6/15/2023 7:35:16 AM
#4 Posted: 6/15/2023 10:55:05 AM
WroteMy suggested solution is in the attached.
Get more accurate solutions from roots(,,,)
LateralEarthPressure.sm (13.13 KiB) downloaded 869 time(s).
#5 Posted: 6/15/2023 11:28:49 PM
Hi. Another way, plugin-less version. Have the advantage that can recognize the active and passive cases.

20230614_lateral earth pressure polyroots.sm (77.28 KiB) downloaded 892 time(s).
Best regards.
Alvaro.
20230614_lateral earth pressure polyroots.sm (77.28 KiB) downloaded 892 time(s).
Best regards.
Alvaro.
1 Pages (5 items)
- New Posts
- No New Posts