error in a system of equations

error in a system of equations - impossible to get or set an item because it does not exist - Messages

#1 Posted: 2019/11/5 14:02:37
Ale16595

Ale16595

0 likes in 35 posts.

Group: User

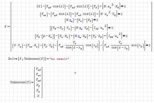
Hi to everyone
I am having difficulty solving a linear system like in the picture.
the error says:"impossible to get or set an item because it does not exist"
does anyone know where the error can be and how to solve this problem?
Thanks in advance
ferrvrveve.png
#2 Posted: 2019/11/5 15:08:12
sergio

sergio

116 likes in 332 posts.

Group: User

"roots" does not work with the units. You must adimensionare equations, or you can try the other features present in the plugin (eg "FindRoot" present "Nonlinear solvers" plugin)

sergio
#3 Posted: 2019/11/5 15:52:23
Ale16595

Ale16595

0 likes in 35 posts.

Group: User

I tried another function but it still gives me an error...
oioijoijoijoi.png
#4 Posted: 2019/11/5 23:57:28
Jean Giraud

Jean Giraud

983 likes in 6,866 posts.

Group: User

Wrote

I tried another function but it still gives me an error...


It's a huge system, and generally does not accept all initials same.
I would zap units first. This kind of solving should have it be
solved from P & P [Pain & Prestige] as it reflects real project
that does come out of the blue. Even Mathcad Given/Find may fail
or pedal through constrain.
Attach the work sheet ... some source reference as well.

#5 Posted: 2019/11/6 02:25:20
Ale16595

Ale16595

0 likes in 35 posts.

Group: User

here is the spreadsheet
calcoli.sm (46.18 KiB) downloaded 610 time(s).
it is a system of equations derived from the condition of dynamic equilibrium in the stationary curve motion of a bicycle
#6 Posted: 2019/11/6 04:16:32
Martin Kraska

Martin Kraska

1,308 likes in 2,221 posts.

Group: Moderator

Equations 3 and 4 probably demand different values for N.r+N.f So there is no solution.

If the system has a solution, the function Solve() from Maxima plugin might find it.

2019-11-06 08_14_22-SMath Studio - [calcoli.sm_].png
Martin KraskaPre-configured portable distribution of SMath Studio: https://en.smath.info/wiki/SMath%20with%20Plugins.ashx
1 users liked this post
sergio 2019/11/6 06:47:00
#7 Posted: 2019/11/6 15:20:34
Jean Giraud

Jean Giraud

983 likes in 6,866 posts.

Group: User

Wrote

here is the spreadsheet


1. equalities [1,2,3] are consistant 'N'
2. equalities [4,5,6] are inconsistant 'mixed units'

calcoli.sm (52.58 KiB) downloaded 538 time(s).

You must make the system consitant before attempting solve.
#8 Posted: 2019/11/6 15:35:50
Ale16595

Ale16595

0 likes in 35 posts.

Group: User

I tried to use the solve function but it still gives me an error saying that S is not defined
hfhfhfhfhffhfh.png
#9 Posted: 2019/11/6 15:47:31
Jean Giraud

Jean Giraud

983 likes in 6,866 posts.

Group: User

Wrote

I tried to use the solve function but it still gives me an error saying that S is not defined


Did you read my reply just before your visit ?
#10 Posted: 2019/11/6 16:20:21
Ale16595

Ale16595

0 likes in 35 posts.

Group: User

Wrote

Wrote

I tried to use the solve function but it still gives me an error saying that S is not defined


Did you read my reply just before your visit ?



sorry, when I wrote, I didn't notice your message
#11 Posted: 2019/11/10 23:11:18
Alvaro

Alvaro

1,078 likes in 1,749 posts.

Group: User

Hi. Try this setup, using al_ library. I don't know if using better guess values can get better results (eqn 3 and 4 don't get good results)

calcoli.sm (50.31 KiB) downloaded 590 time(s).

Best regards.
Alvaro.
#12 Posted: 2019/11/11 07:37:20
Ale16595

Ale16595

0 likes in 35 posts.

Group: User

Wrote

Hi. Try this setup, using al_ library. I don't know if using better guess values can get better results (eqn 3 and 4 don't get good results)

calcoli.sm (50.31 KiB) downloaded 590 time(s).

Best regards.
Alvaro.



Hi, thanks for the reply, but I think I found the error. The system I wrote has two linearly dependent equations, and for this reason it cannot find a solution.
I will have to modify the whole problem.
#13 Posted: 2019/11/11 14:55:47
Jean Giraud

Jean Giraud

983 likes in 6,866 posts.

Group: User

Wrote

Hi. Try this setup, using al_ library. I don't know if using better guess values can get better results (eqn 3 and 4 don't get good results)


Hello Alvaro,
The attached CSTR [SS 6179] example is offered differently,
it is initialized from random guesses: success.
Cheers ... Jean

Solve al_nleqsolve CSTR.sm (38.81 KiB) downloaded 582 time(s).

1 users liked this post
Alvaro 2019/11/12 13:29:00
#14 Posted: 2019/11/12 13:29:59
Alvaro

Alvaro

1,078 likes in 1,749 posts.

Group: User

Wrote

Wrote

Hi. Try this setup, using al_ library. I don't know if using better guess values can get better results (eqn 3 and 4 don't get good results)


Hello Alvaro,
The attached CSTR [SS 6179] example is offered differently,
it is initialized from random guesses: success.
Cheers ... Jean

Solve al_nleqsolve CSTR.sm (38.81 KiB) downloaded 582 time(s).



Hi Jean. Thanks, very interesting.
Best regards.
Alvaro.
  • New Posts
  • No New Posts