error in a system of equations - impossible to get or set an item because it does not exist - Messages
sergio
WroteI tried another function but it still gives me an error...
It's a huge system, and generally does not accept all initials same.
I would zap units first. This kind of solving should have it be
solved from P & P [Pain & Prestige] as it reflects real project
that does come out of the blue. Even Mathcad Given/Find may fail
or pedal through constrain.
Attach the work sheet ... some source reference as well.
calcoli.sm (46.18 KiB) downloaded 856 time(s).
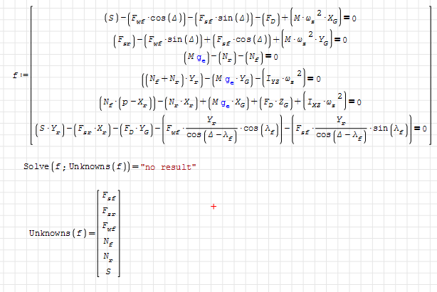
it is a system of equations derived from the condition of dynamic equilibrium in the stationary curve motion of a bicycle
Wrotehere is the spreadsheet
1. equalities [1,2,3] are consistant 'N'
2. equalities [4,5,6] are inconsistant 'mixed units'
calcoli.sm (52.58 KiB) downloaded 801 time(s).
You must make the system consitant before attempting solve.
WroteI tried to use the solve function but it still gives me an error saying that S is not defined
Did you read my reply just before your visit ?
WroteWroteI tried to use the solve function but it still gives me an error saying that S is not defined
Did you read my reply just before your visit ?
sorry, when I wrote, I didn't notice your message
calcoli.sm (50.31 KiB) downloaded 861 time(s).
Best regards.
Alvaro.
WroteHi. Try this setup, using al_ library. I don't know if using better guess values can get better results (eqn 3 and 4 don't get good results)
calcoli.sm (50.31 KiB) downloaded 861 time(s).
Best regards.
Alvaro.
Hi, thanks for the reply, but I think I found the error. The system I wrote has two linearly dependent equations, and for this reason it cannot find a solution.
I will have to modify the whole problem.
WroteHi. Try this setup, using al_ library. I don't know if using better guess values can get better results (eqn 3 and 4 don't get good results)
Hello Alvaro,
The attached CSTR [SS 6179] example is offered differently,
it is initialized from random guesses: success.
Cheers ... Jean
Solve al_nleqsolve CSTR.sm (38.81 KiB) downloaded 830 time(s).
WroteWroteHi. Try this setup, using al_ library. I don't know if using better guess values can get better results (eqn 3 and 4 don't get good results)
Hello Alvaro,
The attached CSTR [SS 6179] example is offered differently,
it is initialized from random guesses: success.
Cheers ... Jean
Solve al_nleqsolve CSTR.sm (38.81 KiB) downloaded 830 time(s).
Hi Jean. Thanks, very interesting.
Best regards.
Alvaro.
- New Posts
- No New Posts


![2019-11-06 08_14_22-SMath Studio - [calcoli.sm_].png](/en-US/files/Download/PasomE/2019-11-06-08_14_22-SMath-Studio---[calcoli.sm_].png)
