Smath cannot calculate numerically this double integral No2

Smath cannot calculate numerically this double integral No2 - Messages

#1 Posted: 2024/12/26 03:21:18
Cornel

Cornel

2 likes in 78 posts.

Group: User

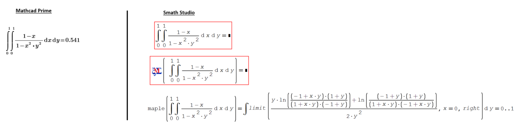
Hi,

Another integral which Smath cannot solve while Mathcad Prime can:

doubleintegral2.png
#2 Posted: 2024/12/26 04:27:57
Oscar Campo

Oscar Campo

135 likes in 309 posts.

Group: Moderator

Use evalf...

image_2024-12-25_203425393.png

Oscar
  • New Posts
  • No New Posts