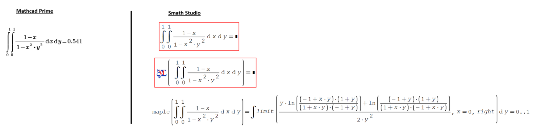
Форум SMath SMath Studio Questions Smath cannot calculate numerically this double integral No2 1 страниц (2 вхождений) Smath cannot calculate numerically this double integral No2 - Сообщения К последнему сообщению #1 Опубликовано: 26.12.2024 03:21:18 Cornel 2 сообщений из 78 понравились пользователям. Группа: User Hi,Another integral which Smath cannot solve while Mathcad Prime can: #2 Опубликовано: 26.12.2024 04:27:57 Oscar Campo 135 сообщений из 309 понравились пользователям. Группа: Moderator Use evalf...Oscar 1 страниц (2 вхождений) Новые сообщения Нет новых сообщений