1 Pages (7 items)
Empty stack with maple - Empty stack with maple - Messages
Hi everyone
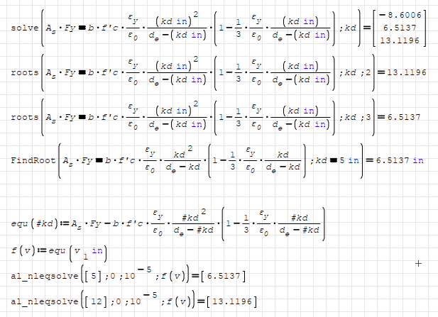
I have to try to solve this equation with maple and solve but I only get the result "Empty stack", Someone knows solve it?
Moment_Curvature relationship.sm (940.84 KiB) downloaded 871 time(s).
I have to try to solve this equation with maple and solve but I only get the result "Empty stack", Someone knows solve it?
Moment_Curvature relationship.sm (940.84 KiB) downloaded 871 time(s).
Hi. It seems that you put kd( ... ) instead kd*( ... ) in the maple solver.
Best regards.
Alvaro.
Best regards.
Alvaro.
Alvaro thanks for you answer but
"kd" is the only value unknown
"kd" is the only value unknown
Thanks a lot Alvaro
1. RootOf expands easily [Example 1]
2. root is undocumented, most precious for dual solver [Example 2]
3. allvalues ... most precious in invlaplace [Example 3]
Maple RootOf Example.sm (38.42 KiB) downloaded 856 time(s).
2. root is undocumented, most precious for dual solver [Example 2]
3. allvalues ... most precious in invlaplace [Example 3]
Maple RootOf Example.sm (38.42 KiB) downloaded 856 time(s).
1 Pages (7 items)
- New Posts
- No New Posts

