1 Pages (4 items)
substitute variables - how to substitute variables into the function - Messages
Is there some way how to substitute variables into the function? For example I define two variables:
a=1m
b=2m
and then I define function A=a·b=2m^2
But I need something like this A=a·b=1·2=2m^2
Is it possible?
a=1m
b=2m
and then I define function A=a·b=2m^2
But I need something like this A=a·b=1·2=2m^2
Is it possible?
Greetings!
This is possible, but there is some work involved to make it happen. After you define your variables a and b, do the following:
STEP 1) Insert a text region (i.e., Keypress the double quotes [ " ]); this used to keep math/text on the same line.
STEP 2) Type your equation 「A:a*b=#」, the text 「 = 」, and the equation 「A=#」 into your text region.
STEP 3) Right-click your 1st Equation, on your context menu you will see [Optimization]; change this option to [None]
STEP 4) Right-Click your 2nd Equation, on your context menu: uncheck the [Display input data] option.
NOTES: With units, it will simplify 「1*m」 to 「m」; so this isn't a perfect solution by any means.
Example:
Here is a file with an example: SMath - substituting variables into same equation.sm (46.02 KiB) downloaded 788 time(s).
Hope this helps!
Kenny Lemens, P.E.
This is possible, but there is some work involved to make it happen. After you define your variables a and b, do the following:
STEP 1) Insert a text region (i.e., Keypress the double quotes [ " ]); this used to keep math/text on the same line.
Reference post #8 on forum: https://en.smath.com/forum/yaf_postst17400_Edit-workflow-for-text-regions-with-embedded-math.aspx
STEP 2) Type your equation 「A:a*b=#」, the text 「 = 」, and the equation 「A=#」 into your text region.
STEP 3) Right-click your 1st Equation, on your context menu you will see [Optimization]; change this option to [None]
STEP 4) Right-Click your 2nd Equation, on your context menu: uncheck the [Display input data] option.
NOTES: With units, it will simplify 「1*m」 to 「m」; so this isn't a perfect solution by any means.
Example:
Here is a file with an example: SMath - substituting variables into same equation.sm (46.02 KiB) downloaded 788 time(s).
Hope this helps!
Kenny Lemens, P.E.
"No matter where you go, there you are." -Buckaroo BanzaiHotkeys: https://en.smath.com/forum/resource.ashx?a=45771&b=2
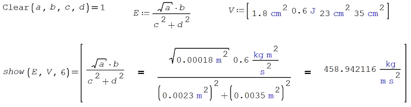
Hi. It would be great to have a new equals sign, such as ≡ , that shows the substitution of an expression for its values, but without the rounding problems that this proposed solution has, and showing the final result in Pascals, perhaps.

show.sm (14.6 KiB) downloaded 792 time(s).
show.pdf (56.88 KiB) downloaded 414 time(s).
Best regards.
Alvaro.

show.sm (14.6 KiB) downloaded 792 time(s).
show.pdf (56.88 KiB) downloaded 414 time(s).
Best regards.
Alvaro.
When it comes to expand/explicit maths formulas,
it soon turns a monkey business, that hits the wall.
Inspect the 14 same representations, and few more.
Enjoy ... Jean.
Maths 0 Formula Representations QUICK.sm (33.43 KiB) downloaded 859 time(s).
it soon turns a monkey business, that hits the wall.
Inspect the 14 same representations, and few more.
Enjoy ... Jean.
Maths 0 Formula Representations QUICK.sm (33.43 KiB) downloaded 859 time(s).
1 Pages (4 items)
- New Posts
- No New Posts
