1 Pages (11 items)
Некорректная работа Stack - Messages
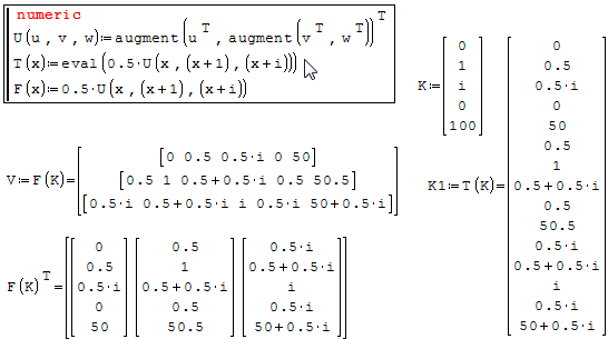
Добрый день!
Возникла проблема при использовании объединения матриц функцией stack, когда одна из матриц является зеркально другой.
Если просто использовать функцию stack, то все работает, но стоит включить её в состав переменной, как возникают проблемы (см. вложение - Stack-reverse.sm (7.07 KiB) downloaded 691 time(s).).
Возникла проблема при использовании объединения матриц функцией stack, когда одна из матриц является зеркально другой.
Если просто использовать функцию stack, то все работает, но стоит включить её в состав переменной, как возникают проблемы (см. вложение - Stack-reverse.sm (7.07 KiB) downloaded 691 time(s).).
A most important nuance, visit the Sierpinski.
Jean

Pattern Fractal Sierpinski.sm (11 KiB) downloaded 721 time(s).
Jean
Pattern Fractal Sierpinski.sm (11 KiB) downloaded 721 time(s).
WroteДобрый день!
Возникла проблема при использовании объединения матриц функцией stack, когда одна из матриц является зеркально другой.
Если просто использовать функцию stack, то все работает, но стоит включить её в состав переменной, как возникают проблемы (см. вложение - Stack-reverse.sm (7.07 KiB) downloaded 691 time(s).).
Похоже какой-то глюк.
Нажимаю после строчки "k:stack(m,m2)" знак "=" и результат меняется

simply change the optimization of m2:reverse(m) or k:stack(m,m2) from symbolic to numeric
If you like my plugins please consider to support the program buying a license; for personal contributions to me: paypal.me/dcprojects
One more reason to vote for the feature request SS-19
Martin KraskaPre-configured portable distribution of SMath Studio: https://en.smath.info/wiki/SMath%20with%20Plugins.ashx
Symbolic evaluation: -> like Mathcad is a must
Numeric evaluation: =
Symbolic definition: <- (store after symbolic simplification)
......................... local definition for programming
Numeric definition: := (store as number or as is)
Non-optimized definition: ≡ (store as is)
≡ will be confusing with Mathcad global definition
Are we going to have at least -> symbolic evaluation ?
Jean
Numeric evaluation: =
Symbolic definition: <- (store after symbolic simplification)
......................... local definition for programming
Numeric definition: := (store as number or as is)
Non-optimized definition: ≡ (store as is)
≡ will be confusing with Mathcad global definition
Are we going to have at least -> symbolic evaluation ?
Jean
1 Pages (11 items)
- New Posts
- No New Posts
![2017-07-18 14_51_25-SMath Studio 0.98.6398 - [Stack-reverse.sm_].png](/zh-Hans-CN/files/Download/ZB4SCL/2017-07-18-14_51_25-SMath-Studio-0.98.6398---[Stack-reverse.sm_].png)

