1 Pages (11 items)
Некорректная работа Stack - Messages
#1 Posted: 7/18/2017 9:06:33 AM
Добрый день!
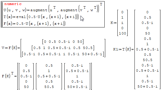
Возникла проблема при использовании объединения матриц функцией stack, когда одна из матриц является зеркально другой.
Если просто использовать функцию stack, то все работает, но стоит включить её в состав переменной, как возникают проблемы (см. вложение - Stack-reverse.sm (7.07 KiB) downloaded 755 time(s).).
Возникла проблема при использовании объединения матриц функцией stack, когда одна из матриц является зеркально другой.
Если просто использовать функцию stack, то все работает, но стоит включить её в состав переменной, как возникают проблемы (см. вложение - Stack-reverse.sm (7.07 KiB) downloaded 755 time(s).).
#2 Posted: 7/18/2017 9:53:58 AM
#5 Posted: 7/18/2017 11:10:47 AM
Genf,Try it:
m2 = eval(reverse(m))
m2 = eval(reverse(m))
1 users liked this post
Serg 7/18/2017 11:48:00 AM
#6 Posted: 7/18/2017 11:49:30 AM
Спасибо за участие!
eval помог.
eval помог.
#7 Posted: 7/18/2017 5:33:32 PM
A most important nuance, visit the Sierpinski.
Jean

Pattern Fractal Sierpinski.sm (11 KiB) downloaded 783 time(s).
Jean
Pattern Fractal Sierpinski.sm (11 KiB) downloaded 783 time(s).
#8 Posted: 7/19/2017 2:29:53 AM
WroteДобрый день!
Возникла проблема при использовании объединения матриц функцией stack, когда одна из матриц является зеркально другой.
Если просто использовать функцию stack, то все работает, но стоит включить её в состав переменной, как возникают проблемы (см. вложение - Stack-reverse.sm (7.07 KiB) downloaded 755 time(s).).
Похоже какой-то глюк.
Нажимаю после строчки "k:stack(m,m2)" знак "=" и результат меняется

#9 Posted: 7/19/2017 3:21:09 AM
simply change the optimization of m2:reverse(m) or k:stack(m,m2) from symbolic to numeric
If you like my plugins please consider to support the program buying a license; for personal contributions to me: paypal.me/dcprojects
#10 Posted: 7/19/2017 6:32:23 AM
One more reason to vote for the feature request SS-19
Martin KraskaPre-configured portable distribution of SMath Studio: https://en.smath.info/wiki/SMath%20with%20Plugins.ashx
#11 Posted: 7/19/2017 12:51:45 PM
Symbolic evaluation: -> like Mathcad is a must
Numeric evaluation: =
Symbolic definition: <- (store after symbolic simplification)
......................... local definition for programming
Numeric definition: := (store as number or as is)
Non-optimized definition: ≡ (store as is)
≡ will be confusing with Mathcad global definition
Are we going to have at least -> symbolic evaluation ?
Jean
Numeric evaluation: =
Symbolic definition: <- (store after symbolic simplification)
......................... local definition for programming
Numeric definition: := (store as number or as is)
Non-optimized definition: ≡ (store as is)
≡ will be confusing with Mathcad global definition
Are we going to have at least -> symbolic evaluation ?
Jean
1 Pages (11 items)
- New Posts
- No New Posts
![2017-07-18 14_51_25-SMath Studio 0.98.6398 - [Stack-reverse.sm_].png](/en-US/files/Download/ZB4SCL/2017-07-18-14_51_25-SMath-Studio-0.98.6398---[Stack-reverse.sm_].png)

