1 Pages (10 items)
Solving proportion whit Smath - Messages
Thanks realy much this help lot!
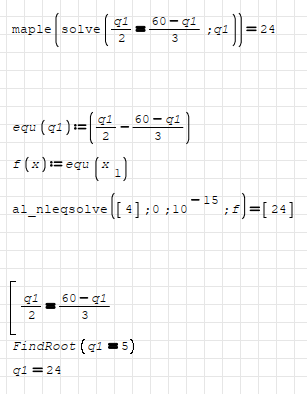
WroteIs there any way to solve proportion's ...
Pie chart is a good candidate to visit ... demo.
2D Plot Pie Chart.sm (61.57 KiB) downloaded 701 time(s).
Solve Forum.sm (4.56 KiB) downloaded 748 time(s).
There are also plugin solvers.
Maxima can be added to collection as well.
Regards
plugin_solvers.sm (5.69 KiB) downloaded 722 time(s).

Maxima can be added to collection as well.
Regards
plugin_solvers.sm (5.69 KiB) downloaded 722 time(s).

1 Pages (10 items)
- New Posts
- No New Posts



