1 Pages (10 items)
Solving proportion whit Smath - Messages
#1 Posted: 10/16/2022 12:11:48 PM
#2 Posted: 10/16/2022 2:07:12 PM
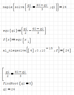
with Maple
or with Maxima

or with Maxima

1 users liked this post
Oscar Campo 10/16/2022 11:15:00 PM
#3 Posted: 10/16/2022 2:18:32 PM
Thanks realy much this help lot!
#4 Posted: 10/16/2022 8:52:58 PM
#5 Posted: 10/16/2022 9:33:09 PM
WroteIs there any way to solve proportion's ...
Pie chart is a good candidate to visit ... demo.
2D Plot Pie Chart.sm (61.57 KiB) downloaded 914 time(s).
#6 Posted: 10/17/2022 7:41:28 AM
#7 Posted: 10/17/2022 7:50:38 AM
Solve Forum.sm (4.56 KiB) downloaded 958 time(s).
#8 Posted: 10/17/2022 10:13:40 AM
#9 Posted: 10/17/2022 7:49:42 PM
#10 Posted: 10/17/2022 9:28:37 PM
There are also plugin solvers.
Maxima can be added to collection as well.
Regards
plugin_solvers.sm (5.69 KiB) downloaded 933 time(s).

Maxima can be added to collection as well.
Regards
plugin_solvers.sm (5.69 KiB) downloaded 933 time(s).

1 Pages (10 items)
- New Posts
- No New Posts


