1 Pages (11 items)
Ode symbolic solution with IC - How to solve? - Messages
WroteSee please one ODE symbolic solution without IC
We have it done for exporting formula c/w constants & IC
Jean
ODE_Laplace 2nd [Type 3].sm (34.42 KiB) downloaded 681 time(s).
1 users liked this post
Valery Ochkov 2023/7/1 09:20:00
WroteWroteSee please one ODE symbolic solution without IC
We have it done for exporting formula c/w constants & IC
Jean
ODE_Laplace 2nd [Type 3].sm (34.42 KiB) downloaded 681 time(s).
Thanks!
But no way to do so in SMath

WroteWroteThanks!
But no way to do so in SMath
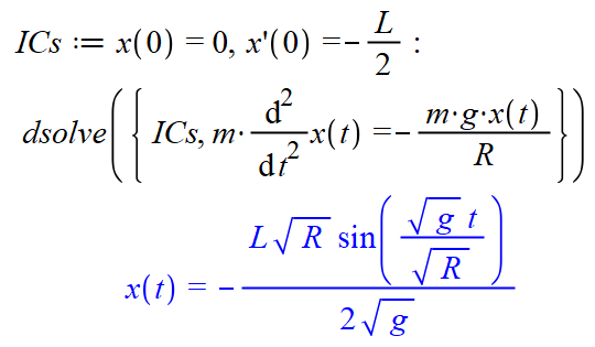
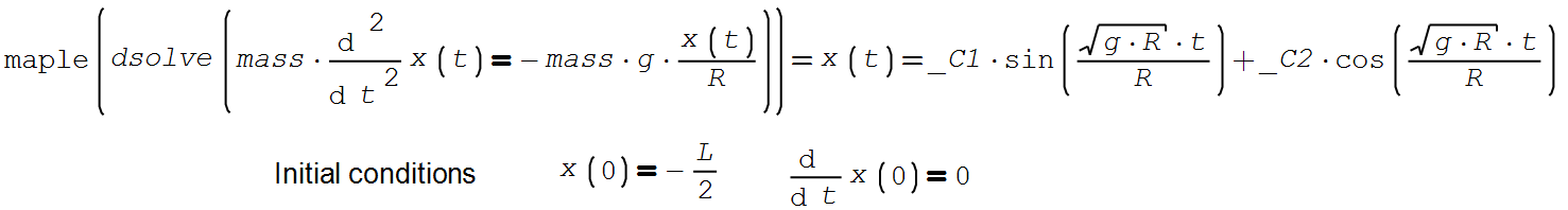
"L & m" are missing in dsolve result ?
m is missing in dsolve.
WroteWroteSee please one ODE symbolic solution without IC
Hi Valery. Use Ctrl+Shift+K for write D(x)(0), which means x'(0)
Best regards.
Alvaro.
Thanks!
dsolve-ICs.sm (10.61 KiB) downloaded 860 time(s).

The distance between the cities added.
GravityTrain.sm (31.01 KiB) downloaded 776 time(s).
GravityTrain.pdf (233.1 KiB) downloaded 456 time(s).
Best regards.
Alvaro.
GravityTrain.sm (31.01 KiB) downloaded 776 time(s).
GravityTrain.pdf (233.1 KiB) downloaded 456 time(s).
Best regards.
Alvaro.
1 users liked this post
Valery Ochkov 2023/7/3 04:18:00
Earth distance companion added.
Sanity check Air Industry.
Jean
Angle Vincenty Earth Distance [Mike].sm (49.78 KiB) downloaded 644 time(s).
Sanity check Air Industry.
Jean
Angle Vincenty Earth Distance [Mike].sm (49.78 KiB) downloaded 644 time(s).
WroteA pendulum ...
The exact solution needs some handwrite work.
Edited: a hard handwrite work. Previous version was wrong.
Correct solution -> pendulum v2.sm (13.73 KiB) downloaded 811 time(s).
Wrong solution -> pendulum.sm (13.88 KiB) downloaded 786 time(s).
Best regards.
Alvaro.
1 users liked this post
Valery Ochkov 2023/7/5 06:23:00
1 Pages (11 items)
- New Posts
- No New Posts



