1 страниц (11 вхождений)
Ode symbolic solution with IC - How to solve? - Сообщения
WroteSee please one ODE symbolic solution without IC
We have it done for exporting formula c/w constants & IC
Jean
ODE_Laplace 2nd [Type 3].sm (34,42 КиБ) скачан 904 раз(а).
1 пользователям понравился этот пост
Valery Ochkov 01.07.2023 09:20:00
WroteWroteSee please one ODE symbolic solution without IC
We have it done for exporting formula c/w constants & IC
Jean
ODE_Laplace 2nd [Type 3].sm (34,42 КиБ) скачан 904 раз(а).
Thanks!
But no way to do so in SMath

WroteWroteThanks!
But no way to do so in SMath
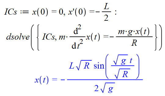
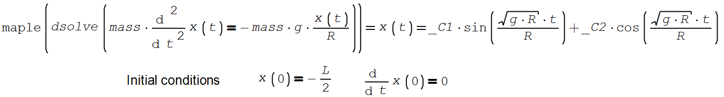
"L & m" are missing in dsolve result ?
m is missing in dsolve.
WroteWroteSee please one ODE symbolic solution without IC
Hi Valery. Use Ctrl+Shift+K for write D(x)(0), which means x'(0)
Best regards.
Alvaro.
Thanks!
dsolve-ICs.sm (10,61 КиБ) скачан 1152 раз(а).

The distance between the cities added.
GravityTrain.sm (31,01 КиБ) скачан 1078 раз(а).
GravityTrain.pdf (233,1 КиБ) скачан 636 раз(а).
Best regards.
Alvaro.
GravityTrain.sm (31,01 КиБ) скачан 1078 раз(а).
GravityTrain.pdf (233,1 КиБ) скачан 636 раз(а).
Best regards.
Alvaro.
1 пользователям понравился этот пост
Valery Ochkov 03.07.2023 04:18:00
Earth distance companion added.
Sanity check Air Industry.
Jean
Angle Vincenty Earth Distance [Mike].sm (49,78 КиБ) скачан 893 раз(а).
Sanity check Air Industry.
Jean
Angle Vincenty Earth Distance [Mike].sm (49,78 КиБ) скачан 893 раз(а).
WroteA pendulum ...
The exact solution needs some handwrite work.
Edited: a hard handwrite work. Previous version was wrong.
Correct solution -> pendulum v2.sm (13,73 КиБ) скачан 1107 раз(а).
Wrong solution -> pendulum.sm (13,88 КиБ) скачан 1095 раз(а).
Best regards.
Alvaro.
1 пользователям понравился этот пост
Valery Ochkov 05.07.2023 06:23:00
1 страниц (11 вхождений)
- Новые сообщения
- Нет новых сообщений



