Mathematical typeseting

Mathematical typeseting - Messages

#21 Posted: 2016/6/4 11:34:25
NDTM Amarasekera

NDTM Amarasekera

130 likes in 352 posts.

Group: User

Click WIN 10 logo on bottom left of the screen, then type "%APPDATA%" and click on it.
It will take you directly to the "Roaming" folder, where you will find the "Smath" folder which should be completely deleted.
Then do a clean installation of Smath
Look within!... The secret is inside you. Best Regards Eng. NDTM Amarasekera - Sri Lanka
#22 Posted: 2016/6/4 12:02:50
Basile

Basile

8 likes in 172 posts.

Group: User

I uninstall the appdata (I fount it!)
I installed again. It worked!
smath error 29.JPG
Then I started updating the plugins
Same problem.
smath error 30.JPG
One of the plugins create this!
Which one?

Basile
#23 Posted: 2016/6/4 12:14:54
NDTM Amarasekera

NDTM Amarasekera

130 likes in 352 posts.

Group: User

Please delete Maxima plugin and try.
Look within!... The secret is inside you. Best Regards Eng. NDTM Amarasekera - Sri Lanka
#24 Posted: 2016/6/4 13:04:47
Basile

Basile

8 likes in 172 posts.

Group: User

Yes, The Maxima plug in was the problem!

NOW we can go back to the initial question:
Can we do (or will be able to do in future release) mathematical typesetting?
This is useful to people that want to include PROOFS of an equation.
Andrey it is your call or another plugin...

THANK YOU ALL!
Basile
#25 Posted: 2016/6/5 00:15:18
Jean Giraud

Jean Giraud

983 likes in 6,866 posts.

Group: User

Wrote

Yes, The Maxima plug in was the problem!

NOW we can go back to the initial question:
Can we do (or will be able to do infuture release) mathematical typesetting?
This is useful to people that want to include PROOFS of an equation.
Andrey it is your call or another plugin...



What is "typesettings" in maths ??? If you want to prove that your sin(30)
is correct from any math tool, check result against official trig tables.

The Maxima plug in was the problem!
... complete the test, reproduce as is to prove your assertion.

Forum Derivative nthOrder Test.gif


#26 Posted: 2016/6/5 00:44:03
Basile

Basile

8 likes in 172 posts.

Group: User

Jean,
By typesetting i mean to be able to write mathematical expressions as part of a proof or sylogism.
They are like text, no mathematical evaluations.
Open Office comes with the ability to write equations. You need alot of mathematical symbols.
Example:
smath error 33.JPG
Basile
#27 Posted: 2016/6/5 03:08:27
Jean Giraud

Jean Giraud

983 likes in 6,866 posts.

Group: User

Wrote

Jean,
By typesetting i mean to be able to write mathematical expressions as part of a proof or sylogism.
They are like text, no mathematical evaluations.
Open Office comes with the ability to write equations. You need alot of mathematical symbols.
Example:



Keep going with your gear, re-inventing the wheel.
If you have no "working maths" to prove, you are
talking with the clouds. Smath is a math tool for
productive Engineers/Scientists/Technicians/Modelers.
Who cares "paper maths". How many billions of pages
will you need to square the circle ? Oh ! I have an
idea: the squaring symbol might square in one line.
Better: a 2m^3 wheelbarrow symbol will determine pi Exactly.

Jean


#28 Posted: 2016/6/5 13:39:48
Basile

Basile

8 likes in 172 posts.

Group: User

Jean,
And how did you get the equation you are using to graph?
Modeling is a process that requires syllogism from basic principles, as I assume you know.

Furthermore, according to your thinking, we do not need the "Writer Region" We have the "Text region".
Basile

PS. By the way, the need came out of an attempt to solve the classical calculus problem of finding the tangent to a curve that makes an angle of 45 deg with the x'-x axis. For full documentation you need the proper tools.
#29 Posted: 2016/6/5 15:30:20
Jean Giraud

Jean Giraud

983 likes in 6,866 posts.

Group: User

Basile my friend: rats had breakfast and diner with my maths books.
They figured that if my maths put butter on the bread I had no more
need and then it was their heritage.

Jean
#30 Posted: 2016/6/5 17:25:10
Basile

Basile

8 likes in 172 posts.

Group: User

It sound tasty.

but you did not answer how do you get the equations that you use?
And why not have a professionally developed document in one place?
Basile
#31 Posted: 2016/6/5 21:23:35
Alvaro

Alvaro

1,078 likes in 1,749 posts.

Group: User

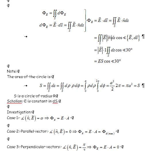
I guess that Basile ask for a full implementation of math typeseting, but in the mean time it could be very userfull some few (hope easy) assumptions for usual physic notations. Those above are from EES (fchart.com)

Best regards.

Alvaro.

mdec.gif
#32 Posted: 2016/6/5 22:08:28
Jean Giraud

Jean Giraud

983 likes in 6,866 posts.

Group: User

Yes Alvaro, I go for the Mathcad style [Cntrl+Shift+K]
as well as the complete set of ASCII latin and symbol style.
[Alt+key then Symbol] ... [Alt+0key then symbol] (Ä,Å,Ã,Ø,¶,Š,,,)
#33 Posted: 2016/6/6 10:24:48
Basile

Basile

8 likes in 172 posts.

Group: User

Alvaro,

Yes, "I guess that Basile ask for a full implementation of math typesetting,"
This will allow people to simply TYPE easily mathematical characters, so they can have a full mathematical document with the current abilities of calculations.
The Open Office ability is a good example.

Basile
#34 Posted: 2016/6/6 11:59:32
Jean Giraud

Jean Giraud

983 likes in 6,866 posts.

Group: User

Wrote

This will allow people to simply TYPE easily mathematical characters,
so they can have a full mathematical document with the current abilities ofcalculations.
The Open Office ability is a good example.

.

Smath is already an equation editor, your demand does not apply on the RHS.
As a function definition [LHS], having the integral symbol instead of int(x):=
will not change much and prone to confusion vs Smath itself and productive collabs
as well wrt to other CAS. Some symbols like the "Plank hbar" Might be useful.
Some and many "decoration" will conflict with the equation editor as well as with
code style [Maple, Matlab, Mathematica ...]
Example Dirac "ket and bra" which is <,>. So, you won't be able to define something
like ... there is ½ page of numerical maths to get the Dirac result of <,>

I found some symbols from [Alt+key, Alt+0key] very useful. Maybe ask Andrey if it's
feasible to open these ASCII. It would help you post a simple piece of something
that you believe Smath can't do w/o decoration.

Forum Math Symbols.gif

AltKeySymbol02.gif

AltKeySymbolExtend01.gif


That piece of sample is not for me, rather to other helpers.
Have you ever examined other coding: Maple, Scilab, SageMath, Matlab ...

#35 Posted: 2016/6/6 13:24:35
Basile

Basile

8 likes in 172 posts.

Group: User

Jean,
When you type text, even mathematical equations, you are in text mode. Nice feature to have.
It does not conflic with mathematics - calculation mode.

Basile
#36 Posted: 2016/6/6 15:36:54
Jean Giraud

Jean Giraud

983 likes in 6,866 posts.

Group: User

Wrote

Jean,
When you type text, even mathematical equations, you are in text mode. Nice feature to have.
It does not conflic with mathematics - calculation mode.

Basile



Basile,

NO, you are never in text mode in math equation
1. The RHS is in equation editor mode [Smath, Mathcad]
2. The LHS is in argument definition mode
You can invent any side at will, resulting in dead maths.
What I suggest: few more argument definitions, like the
angle symbol per say.

Jean

#37 Posted: 2016/6/6 15:42:20
Alvaro

Alvaro

1,078 likes in 1,749 posts.

Group: User

Wrote

Alvaro,

Yes, "I guess that Basile ask for a full implementation of math typesetting,"
This will allow people to simply TYPE easily mathematical characters, so they can have a full mathematical document with the current abilities of calculations.
The Open Office ability is a good example.

Basile



But the big problem for me is that SMath don't accept objects in copy-paste. Even the Writer plugin is a big job, isn't the same that write in a full word processor. A program that what does is typeseting is here scientific notebook at www.mackichan.com with mupad as symbolic kernel (earlier version with maple too).

So, if SMath can handle objects as usual in other windows or linux programs (incrustate and open with double click) will be great for easy documenting SMath worksheets. And not only for paste word processors documents, but for slides, spreadsheets, dwg drawings, electrical circuits from any program, and a big etc.

Best regards.

Alvaro.

  • New Posts
  • No New Posts