Mathematical typeseting - Messages
It will take you directly to the "Roaming" folder, where you will find the "Smath" folder which should be completely deleted.
Then do a clean installation of Smath
NOW we can go back to the initial question:
Can we do (or will be able to do in future release) mathematical typesetting?
This is useful to people that want to include PROOFS of an equation.
Andrey it is your call or another plugin...
THANK YOU ALL!
Basile
WroteYes, The Maxima plug in was the problem!
NOW we can go back to the initial question:
Can we do (or will be able to do infuture release) mathematical typesetting?
This is useful to people that want to include PROOFS of an equation.
Andrey it is your call or another plugin...
What is "typesettings" in maths ??? If you want to prove that your sin(30)
is correct from any math tool, check result against official trig tables.
The Maxima plug in was the problem!
... complete the test, reproduce as is to prove your assertion.

WroteJean,
By typesetting i mean to be able to write mathematical expressions as part of a proof or sylogism.
They are like text, no mathematical evaluations.
Open Office comes with the ability to write equations. You need alot of mathematical symbols.
Example:
Keep going with your gear, re-inventing the wheel.
If you have no "working maths" to prove, you are
talking with the clouds. Smath is a math tool for
productive Engineers/Scientists/Technicians/Modelers.
Who cares "paper maths". How many billions of pages
will you need to square the circle ? Oh ! I have an
idea: the squaring symbol might square in one line.
Better: a 2m^3 wheelbarrow symbol will determine pi Exactly.
Jean
And how did you get the equation you are using to graph?
Modeling is a process that requires syllogism from basic principles, as I assume you know.
Furthermore, according to your thinking, we do not need the "Writer Region" We have the "Text region".
Basile
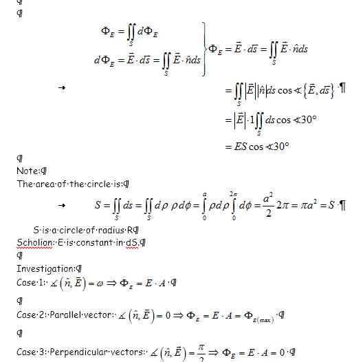
PS. By the way, the need came out of an attempt to solve the classical calculus problem of finding the tangent to a curve that makes an angle of 45 deg with the x'-x axis. For full documentation you need the proper tools.
They figured that if my maths put butter on the bread I had no more
need and then it was their heritage.
Jean
but you did not answer how do you get the equations that you use?
And why not have a professionally developed document in one place?
Basile
as well as the complete set of ASCII latin and symbol style.
[Alt+key then Symbol] ... [Alt+0key then symbol] (Ä,Å,Ã,Ø,¶,Š,,,)
Yes, "I guess that Basile ask for a full implementation of math typesetting,"
This will allow people to simply TYPE easily mathematical characters, so they can have a full mathematical document with the current abilities of calculations.
The Open Office ability is a good example.
Basile
.WroteThis will allow people to simply TYPE easily mathematical characters,
so they can have a full mathematical document with the current abilities ofcalculations.
The Open Office ability is a good example.
Smath is already an equation editor, your demand does not apply on the RHS.
As a function definition [LHS], having the integral symbol instead of int(x):=
will not change much and prone to confusion vs Smath itself and productive collabs
as well wrt to other CAS. Some symbols like the "Plank hbar" Might be useful.
Some and many "decoration" will conflict with the equation editor as well as with
code style [Maple, Matlab, Mathematica ...]
Example Dirac "ket and bra" which is <,>. So, you won't be able to define something
like
I found some symbols from [Alt+key, Alt+0key] very useful. Maybe ask Andrey if it's
feasible to open these ASCII. It would help you post a simple piece of something
that you believe Smath can't do w/o decoration.



That piece of sample is not for me, rather to other helpers.
Have you ever examined other coding: Maple, Scilab, SageMath, Matlab ...
When you type text, even mathematical equations, you are in text mode. Nice feature to have.
It does not conflic with mathematics - calculation mode.
Basile
WroteJean,
When you type text, even mathematical equations, you are in text mode. Nice feature to have.
It does not conflic with mathematics - calculation mode.
Basile
Basile,
NO, you are never in text mode in math equation
1. The RHS is in equation editor mode [Smath, Mathcad]
2. The LHS is in argument definition mode
You can invent any side at will, resulting in dead maths.
What I suggest: few more argument definitions, like the
angle symbol per say.
Jean
WroteAlvaro,
Yes, "I guess that Basile ask for a full implementation of math typesetting,"
This will allow people to simply TYPE easily mathematical characters, so they can have a full mathematical document with the current abilities of calculations.
The Open Office ability is a good example.
Basile
But the big problem for me is that SMath don't accept objects in copy-paste. Even the Writer plugin is a big job, isn't the same that write in a full word processor. A program that what does is typeseting is here scientific notebook at www.mackichan.com with mupad as symbolic kernel (earlier version with maple too).
So, if SMath can handle objects as usual in other windows or linux programs (incrustate and open with double click) will be great for easy documenting SMath worksheets. And not only for paste word processors documents, but for slides, spreadsheets, dwg drawings, electrical circuits from any program, and a big etc.
Best regards.
Alvaro.
- New Posts
- No New Posts
