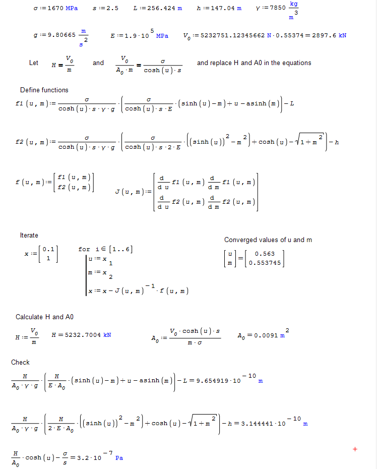
SMath Forum SMath Studio Questions How to solve the nonlinear equations? 1 Pages (4 items) How to solve the nonlinear equations? - Messages Go to last post #1 Posted: 2025/3/4 10:39:59 netsonicyxf 2 likes in 79 posts. Group: User The 4 unknows are H, u, m and A0The al_nlesoolve doesn't get answer.File not found.File not found. #2 Posted: 2025/3/4 13:33:17 Valery Ochkov 64 likes in 670 posts. Group: User The first step!From 4 to 3 equations! #3 Posted: 2025/3/4 21:04:31 StvMath 43 likes and 1 dislikes in 68 posts. Group: User In fact, reduce to two equations and use a simple two-variable Newton-Raphson:1b.sm (23.34 KiB) downloaded 979 time(s). 1 users liked this postnetsonicyxf 2025/3/5 18:18:00 #4 Posted: 2025/3/6 00:56:21 Valery Ochkov 64 likes in 670 posts. Group: User With plotForum.sm (22.7 KiB) downloaded 994 time(s). 1 users liked this postnetsonicyxf 2025/3/8 21:52:00 1 Pages (4 items) New Posts No New Posts