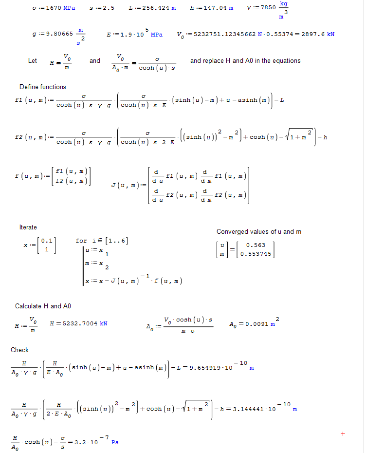
Форум SMath SMath Studio Questions How to solve the nonlinear equations? 1 страниц (4 вхождений) How to solve the nonlinear equations? - Сообщения К последнему сообщению #1 Опубликовано: 04.03.2025 10:39:59 netsonicyxf 2 сообщений из 79 понравились пользователям. Группа: User The 4 unknows are H, u, m and A0The al_nlesoolve doesn't get answer.Файл не найден.Файл не найден. #2 Опубликовано: 04.03.2025 13:33:17 Valery Ochkov 66 сообщений из 672 понравились пользователям. Группа: User The first step!From 4 to 3 equations! #3 Опубликовано: 04.03.2025 21:04:31 StvMath 43 сообщений из 68 понравились и 1 не понравились пользователям. Группа: User In fact, reduce to two equations and use a simple two-variable Newton-Raphson:1b.sm (23,34 КиБ) скачан 1210 раз(а). 1 пользователям понравился этот постnetsonicyxf 05.03.2025 18:18:00 #4 Опубликовано: 06.03.2025 00:56:21 Valery Ochkov 66 сообщений из 672 понравились пользователям. Группа: User With plotForum.sm (22,7 КиБ) скачан 1231 раз(а). 1 пользователям понравился этот постnetsonicyxf 08.03.2025 21:52:00 1 страниц (4 вхождений) Новые сообщения Нет новых сообщений