combin - Сообщения
WroteWroteCan I do this with SMath ?
Smath offers more.
Maths Combine.sm (76,61 КиБ) скачан 1023 раз(а).
Thanks!
But this


WroteОно работает, только нужно в папке с плагином дополнить with.inc файл. Там содержится список пакетов, которые подключаются при вызове функции maple(). Заранее неизвестно что понадобится пользователю, поэтому список подключаемых пакетов ограничен и настройка их списка осуществляется внешним файлом.
Спасибо! Буду разбираться.
В Maple 2023 можно решать задасу коммивояжёра. Можно это перенести в SMath?
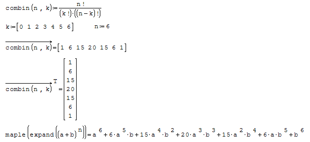
WrotePascal triangle
Fully automated.
Maths Pascal Auto Companion Copy.sm (36,62 КиБ) скачан 974 раз(а).
WroteWroteОно работает, только нужно в папке с плагином дополнить with.inc файл. Там содержится список пакетов, которые подключаются при вызове функции maple(). Заранее неизвестно что понадобится пользователю, поэтому список подключаемых пакетов ограничен и настройка их списка осуществляется внешним файлом.
Спасибо! Буду разбираться.
В Maple 2023 можно решать задасу коммивояжёра. Можно это перенести в SMath?
How do you add this to the plugin? Could you show this?
Thank you so much!
WroteWroteWroteОно работает, только нужно в папке с плагином дополнить with.inc файл. Там содержится список пакетов, которые подключаются при вызове функции maple(). Заранее неизвестно что понадобится пользователю, поэтому список подключаемых пакетов ограничен и настройка их списка осуществляется внешним файлом.
Спасибо! Буду разбираться.
В Maple 2023 можно решать задасу коммивояжёра. Можно это перенести в SMath?
How do you add this to the plugin? Could you show this?
Thank you so much!
Show to me too, please!
To simplify the work with the maple() function, I make an indication of the packages used implicitly. When calling a function, a certain set of packages is always added.
These packages are listed as commands in the with.inc file. This text file is located in the Maple Tools plugin folder. In one of the subfolders (it seems bin).
You need to add the following text to the contents of the file:
with(combinat):
After adding this line, it will be possible to call functions from this package.
WroteUsually, when working with Maple, you need to specify the name of the used package using the with() keyword.
To simplify the work with the maple() function, I make an indication of the packages used implicitly. When calling a function, a certain set of packages is always added.
These packages are listed as commands in the with.inc file. This text file is located in the Maple Tools plugin folder. In one of the subfolders (it seems bin).
You need to add the following text to the contents of the file:
with(combinat):
After adding this line, it will be possible to call functions from this package.
Is that custom set of packages somehow stored in the document metadata? Otherwise the document would not run on other installations of SMath, even if the maple plugin is there.
WroteHow do you add this to the plugin? Could you show this ?
Does binomial work on your system ?
Maths Pascal Auto Companion QUICK.sm (4,89 КиБ) скачан 997 раз(а).
- Новые сообщения
- Нет новых сообщений





