1 страниц (14 вхождений)
Solve & Roots - Mathcad OK, SMath not OK - Сообщения
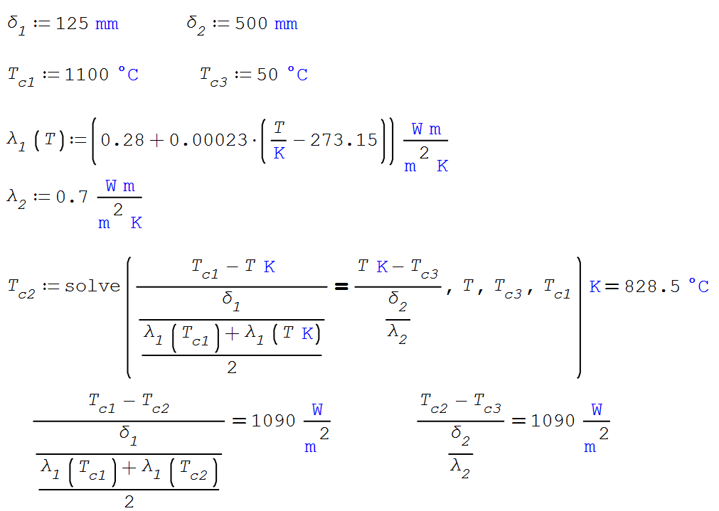
WroteWhy no solution?
Units?
With Roots and without units - OK!
Krasnoshchekov-Sukomel-10-10.sm (209,72 КиБ) скачан 987 раз(а).
Wroteroot is undocumented in Smath. However, we have applications.
Solve Inverse [Seeded Scanner QUICK TRACK] Copy.sm (150,91 КиБ) скачан 826 раз(а).
WroteSend please the SMath file!
Krasnoshchekov-Sukomel-10-10_findroot.sm (206,95 КиБ) скачан 989 раз(а).
1 пользователям понравился этот пост
Valery Ochkov 23.05.2023 01:43:00
WroteCan we do it with the roots function with 2 or more equations and unknowns?
Please, attach a document to evaluate the request.
WroteWroteCan we do it with the roots function with 2 or more equations and unknowns?
Please, attach a document to evaluate the request.
Sorry, done myself.

Krasnoshchekov-Sukomel-Alan.sm (13,42 КиБ) скачан 1017 раз(а).
1 страниц (14 вхождений)
- Новые сообщения
- Нет новых сообщений




