1 страниц (6 вхождений)
Angles trygonometry value in solutions of the system of equations - Сообщения
Hi,
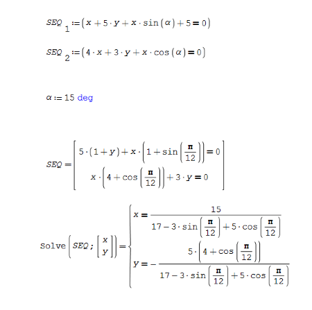
How to turn of the decimal values in trygonometry angles value? I got sth lik this for solution of system of equations:

The file with example: example_v1.sm (8 КиБ) скачан 526 раз(а).
Regards,
A.
How to turn of the decimal values in trygonometry angles value? I got sth lik this for solution of system of equations:

The file with example: example_v1.sm (8 КиБ) скачан 526 раз(а).
Regards,
A.
You can use the function al_nlegsolve with any initial
assumptions (because the equations are linear)
al_nlegsolve.sm (11,18 КиБ) скачан 536 раз(а).
assumptions (because the equations are linear)
al_nlegsolve.sm (11,18 КиБ) скачан 536 раз(а).
Martin KraskaPre-configured portable distribution of SMath Studio: https://en.smath.info/wiki/SMath%20with%20Plugins.ashx
1 пользователям понравился этот пост
sergio 10.09.2021 06:11:00
Hi Martin. I use Maxima's ev() because SMath's Assign() only works with the variable names, instead others, like xo, yo, and SMath's at() doesn't works for the symbolic evaluation, as shown this picture:
example_v1.sm (15,95 КиБ) скачан 564 раз(а).

This is a workaround for use only SMath native functions or plugins, without any explicit Maxima function:
example_v2.sm (15,16 КиБ) скачан 592 раз(а).

Best regards.
Alvaro.
example_v1.sm (15,95 КиБ) скачан 564 раз(а).

This is a workaround for use only SMath native functions or plugins, without any explicit Maxima function:
example_v2.sm (15,16 КиБ) скачан 592 раз(а).

Best regards.
Alvaro.
1 пользователям понравился этот пост
sergio 10.09.2021 13:43:00
1 страниц (6 вхождений)
- Новые сообщения
- Нет новых сообщений

