1 Pages (6 items)
Angles trygonometry value in solutions of the system of equations - Messages
#1 Posted: 9/9/2021 4:25:42 AM
Hi,
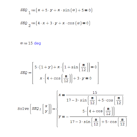
How to turn of the decimal values in trygonometry angles value? I got sth lik this for solution of system of equations:

The file with example: example_v1.sm (8 KiB) downloaded 528 time(s).
Regards,
A.
How to turn of the decimal values in trygonometry angles value? I got sth lik this for solution of system of equations:

The file with example: example_v1.sm (8 KiB) downloaded 528 time(s).
Regards,
A.
#2 Posted: 9/9/2021 6:44:19 AM
You can use the function al_nlegsolve with any initial
assumptions (because the equations are linear)
al_nlegsolve.sm (11.18 KiB) downloaded 537 time(s).
assumptions (because the equations are linear)
al_nlegsolve.sm (11.18 KiB) downloaded 537 time(s).
#3 Posted: 9/9/2021 9:52:40 AM
#4 Posted: 9/9/2021 11:20:45 PM
#5 Posted: 9/10/2021 5:37:18 AM
Martin KraskaPre-configured portable distribution of SMath Studio: https://en.smath.info/wiki/SMath%20with%20Plugins.ashx
1 users liked this post
sergio 9/10/2021 6:11:00 AM
#6 Posted: 9/10/2021 1:02:39 PM
Hi Martin. I use Maxima's ev() because SMath's Assign() only works with the variable names, instead others, like xo, yo, and SMath's at() doesn't works for the symbolic evaluation, as shown this picture:
example_v1.sm (15.95 KiB) downloaded 565 time(s).

This is a workaround for use only SMath native functions or plugins, without any explicit Maxima function:
example_v2.sm (15.16 KiB) downloaded 593 time(s).

Best regards.
Alvaro.
example_v1.sm (15.95 KiB) downloaded 565 time(s).

This is a workaround for use only SMath native functions or plugins, without any explicit Maxima function:
example_v2.sm (15.16 KiB) downloaded 593 time(s).

Best regards.
Alvaro.
1 users liked this post
sergio 9/10/2021 1:43:00 PM
1 Pages (6 items)
- New Posts
- No New Posts

