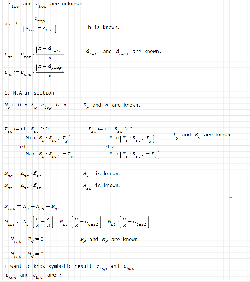
Форум SMath SMath Studio Questions how can i get the symbolic result ? 1 страниц (2 вхождений) how can i get the symbolic result ? - Сообщения К последнему сообщению #1 Опубликовано: 11.09.2023 00:17:08 soomoon 1 сообщений из 40 понравились пользователям. Группа: User how can i get the symbolic result?calculation of crack width20230911.sm (16,68 КиБ) скачан 1055 раз(а).thank you in advance #2 Опубликовано: 11.09.2023 12:03:38 Oscar Campo 135 сообщений из 309 понравились пользователям. Группа: Moderator Here a solution:Disabñe evaluation of f.sc y f.st and solve symbolically via Maxima:calculation of crack width20230911 symbolic_solution.sm (32,99 КиБ) скачан 1100 раз(а).Regards, Oscar 1 страниц (2 вхождений) Новые сообщения Нет новых сообщений