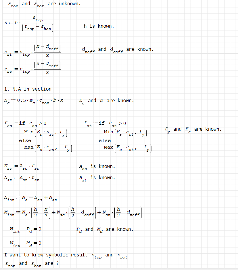
SMath Forum SMath Studio Questions how can i get the symbolic result ? 1 Pages (2 items) how can i get the symbolic result ? - Messages Go to last post #1 Posted: 9/11/2023 12:17:08 AM soomoon 1 likes in 40 posts. Group: User how can i get the symbolic result?calculation of crack width20230911.sm (16.68 KiB) downloaded 1055 time(s).thank you in advance #2 Posted: 9/11/2023 12:03:38 PM Oscar Campo 135 likes in 309 posts. Group: Moderator Here a solution:Disabñe evaluation of f.sc y f.st and solve symbolically via Maxima:calculation of crack width20230911 symbolic_solution.sm (32.99 KiB) downloaded 1100 time(s).Regards, Oscar 1 Pages (2 items) New Posts No New Posts