Pleeeese help with work!!!

Pleeeese help with work!!! - Сообщения

#1 Опубликовано: 14.06.2022 05:10:14
Alexandr

Alexandr

0 сообщений из 2 понравились пользователям.

Группа: User

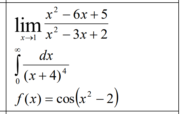
1) Find the area of the figure bounded by the abscissa axis and the graph of the function
y = x^2– 2x at x ∈ [0,3].
2) According to the individual variant, determine the derivative of the function, calculate a certain integral, plot
the function

2022-06-14 13_55_48-Pleeeese help with work!!! - Mozilla Firefox.png
#2 Опубликовано: 14.06.2022 07:57:08
Jean Giraud

Jean Giraud

983 сообщений из 6 866 понравились пользователям.

Группа: User

Welcome to Smath Community... Jean.
Often, Smath does not save the gray plot background.

Demo Edu.PNG

Home Work.sm (8,97 КиБ) скачан 928 раз(а).
#3 Опубликовано: 14.06.2022 08:01:45
Alexandr

Alexandr

0 сообщений из 2 понравились пользователям.

Группа: User

Thank you!!!
  • Новые сообщения
  • Нет новых сообщений