Pleeeese help with work!!!

Pleeeese help with work!!! - Messages

#1 Posted: 6/14/2022 5:10:14 AM
Alexandr

Alexandr

0 likes in 2 posts.

Group: User

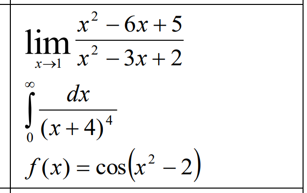
1) Find the area of the figure bounded by the abscissa axis and the graph of the function
y = x^2– 2x at x ∈ [0,3].
2) According to the individual variant, determine the derivative of the function, calculate a certain integral, plot
the function

2022-06-14 13_55_48-Pleeeese help with work!!! - Mozilla Firefox.png
#2 Posted: 6/14/2022 7:57:08 AM
Jean Giraud

Jean Giraud

983 likes in 6,866 posts.

Group: User

Welcome to Smath Community... Jean.
Often, Smath does not save the gray plot background.

Demo Edu.PNG

Home Work.sm (8.97 KiB) downloaded 872 time(s).
#3 Posted: 6/14/2022 8:01:45 AM
Alexandr

Alexandr

0 likes in 2 posts.

Group: User

Thank you!!!
  • New Posts
  • No New Posts