1 страниц (10 вхождений)
Mathcad While / Smath For - Help with the structure - Сообщения
Hello guys, please your help! I've trying for weeks to do the equivalent WHILE in Smath Studio... a big tool for me. But I really cant figure it out, after watching thousands of videos and web pages. This might be a dumb question, but I'm kinda desperate.
I keep getting Z is not defined.
See the following captures:
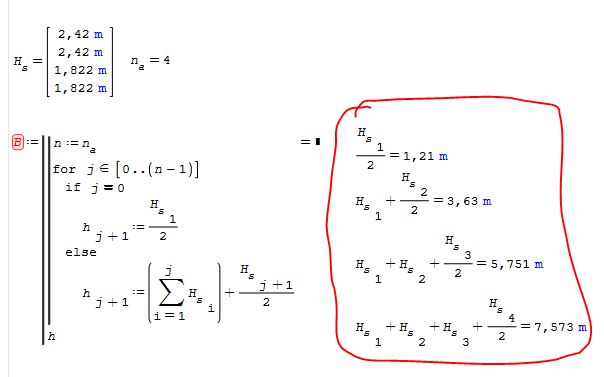
Mathcad

Smath Studio

Thank you very much in advance.
Regards
I keep getting Z is not defined.
See the following captures:
Mathcad
Smath Studio
Thank you very much in advance.
Regards
WroteHello guys, please your help! I've trying for weeks to do the equivalent WHILE in Smath Studio... a big tool for me. But I really cant figure it out, after watching thousands of videos and web pages. This might be a dumb question, but I'm kinda desperate.
I keep getting Z is not defined.
Thank you very much in advance.
Regards
SMath vectors/matrices don't start with 0 index.
First matrix/vector element gets the index 1.
Redesigning your code should make it tick.
Either make your indexes +1 or change your range to start with 1.
Regards

1 пользователям понравился этот пост
metrvg 14.09.2021 17:06:00
The mountains of Mathcad that I converted for Smath were done simply.
1. From the Mathcad default index 0, save the result.
2. set Mathcad ORIGIN 1
3. Run the program, doctor as indicated by the red message.
I still have a gorgeous Mathcad ORIGIN 0 that couldn't be
converted/doctored ORIGIN 1 ... Damned mystic to me !
Cheers ... Jean.
1. From the Mathcad default index 0, save the result.
2. set Mathcad ORIGIN 1
3. Run the program, doctor as indicated by the red message.
I still have a gorgeous Mathcad ORIGIN 0 that couldn't be
converted/doctored ORIGIN 1 ... Damned mystic to me !
Cheers ... Jean.
Does it make sense to sanity Smath vs Mathcad more generally ?
Page9 Sanity Mathcad.sm (8,19 КиБ) скачан 1089 раз(а).
Page9 Sanity Mathcad.sm (8,19 КиБ) скачан 1089 раз(а).
WroteDoes it make sense to sanity Smath vs Mathcad more generally ?
Page9 Sanity Mathcad.sm (8,19 КиБ) скачан 1089 раз(а).
when I download the attachment, run it,
the error happens : "j is not defined"
Is it my PC's problem?
Wrotewhen I download the attachment, run it,
the error happens : "j is not defined"
Is it my PC's problem?
Could you please uninstall SMath and delete your smath config directory.
Directory should be in "C:\Users\
Delete the SMath directory in Roaming completely, purge it.
And could you please download new version again and install it?
WroteWhat can be wrong in the syntax??
We can't really tell what is the matter without the file.
I guess you tried to see the result in same region with the algorithm.
Same region result evaluation won't work with multi-line calculations.
But it will give you the correct results in a separate evaluation.
The syntax seems to appear correct. There is no problem with syntax.
When I wrote everything as you did, it just works.
Here is your algorithm written from scratch.
Regards
syntax.sm (5,16 КиБ) скачан 980 раз(а).

1 пользователям понравился этот пост
metrvg 14.09.2021 19:37:00
1 страниц (10 вхождений)
- Новые сообщения
- Нет новых сообщений