1 Pages (10 items)
Mathcad While / Smath For - Help with the structure - Messages
#1 Posted: 9/7/2021 5:07:55 PM
Hello guys, please your help! I've trying for weeks to do the equivalent WHILE in Smath Studio... a big tool for me. But I really cant figure it out, after watching thousands of videos and web pages. This might be a dumb question, but I'm kinda desperate.
I keep getting Z is not defined.
See the following captures:
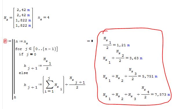
Mathcad

Smath Studio

Thank you very much in advance.
Regards
I keep getting Z is not defined.
See the following captures:
Mathcad
Smath Studio
Thank you very much in advance.
Regards
#2 Posted: 9/7/2021 5:36:04 PM
WroteHello guys, please your help! I've trying for weeks to do the equivalent WHILE in Smath Studio... a big tool for me. But I really cant figure it out, after watching thousands of videos and web pages. This might be a dumb question, but I'm kinda desperate.
I keep getting Z is not defined.
Thank you very much in advance.
Regards
SMath vectors/matrices don't start with 0 index.
First matrix/vector element gets the index 1.
Redesigning your code should make it tick.
Either make your indexes +1 or change your range to start with 1.
Regards

1 users liked this post
metrvg 9/14/2021 5:06:00 PM
#3 Posted: 9/8/2021 11:33:22 AM
The mountains of Mathcad that I converted for Smath were done simply.
1. From the Mathcad default index 0, save the result.
2. set Mathcad ORIGIN 1
3. Run the program, doctor as indicated by the red message.
I still have a gorgeous Mathcad ORIGIN 0 that couldn't be
converted/doctored ORIGIN 1 ... Damned mystic to me !
Cheers ... Jean.
1. From the Mathcad default index 0, save the result.
2. set Mathcad ORIGIN 1
3. Run the program, doctor as indicated by the red message.
I still have a gorgeous Mathcad ORIGIN 0 that couldn't be
converted/doctored ORIGIN 1 ... Damned mystic to me !
Cheers ... Jean.
#4 Posted: 9/8/2021 4:35:53 PM
Does it make sense to sanity Smath vs Mathcad more generally ?
Page9 Sanity Mathcad.sm (8.19 KiB) downloaded 959 time(s).
Page9 Sanity Mathcad.sm (8.19 KiB) downloaded 959 time(s).
#5 Posted: 9/10/2021 2:12:09 AM
WroteDoes it make sense to sanity Smath vs Mathcad more generally ?
Page9 Sanity Mathcad.sm (8.19 KiB) downloaded 959 time(s).
when I download the attachment, run it,
the error happens : "j is not defined"
Is it my PC's problem?
#6 Posted: 9/10/2021 7:12:50 PM
#7 Posted: 9/11/2021 10:44:48 AM
Wrotewhen I download the attachment, run it,
the error happens : "j is not defined"
Is it my PC's problem?
Could you please uninstall SMath and delete your smath config directory.
Directory should be in "C:\Users\
Delete the SMath directory in Roaming completely, purge it.
And could you please download new version again and install it?
#8 Posted: 9/12/2021 11:35:40 AM
#9 Posted: 9/14/2021 5:05:39 PM
#10 Posted: 9/14/2021 5:25:05 PM
WroteWhat can be wrong in the syntax??
We can't really tell what is the matter without the file.
I guess you tried to see the result in same region with the algorithm.
Same region result evaluation won't work with multi-line calculations.
But it will give you the correct results in a separate evaluation.
The syntax seems to appear correct. There is no problem with syntax.
When I wrote everything as you did, it just works.
Here is your algorithm written from scratch.
Regards
syntax.sm (5.16 KiB) downloaded 874 time(s).

1 users liked this post
metrvg 9/14/2021 7:37:00 PM
1 Pages (10 items)
- New Posts
- No New Posts