1 Pages (7 items)
From pic to SMath - Messages
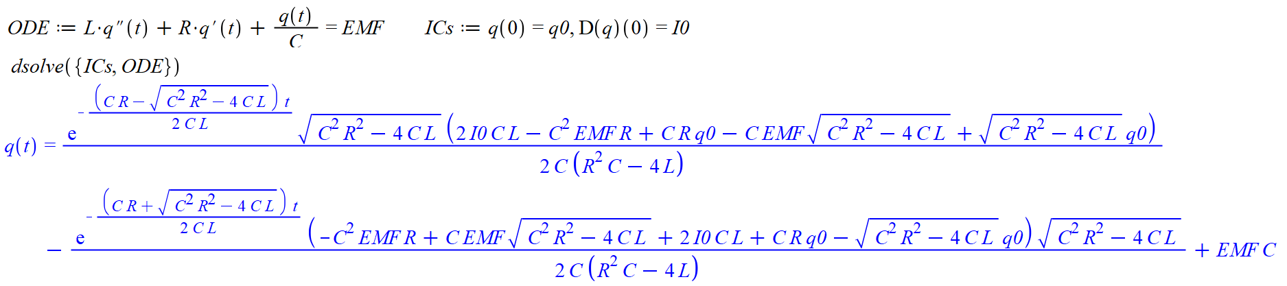
#1 Posted: 2/5/2024 3:46:00 PM
#2 Posted: 2/5/2024 5:58:53 PM
This is how I'd handle it with the Maxima plugin. In the first case with ODE.2(), Solve() can be applied to use the initial conditions to determine the constants of integration k1 and k2. In the second case with desolve() the initial conditions are specified beforehand with atvalue(). You get the symbolic solution if you disable the value assignments to the system constants.

File not found.File not found.
File not found.File not found.

File not found.File not found.
File not found.File not found.
Martin KraskaPre-configured portable distribution of SMath Studio: https://en.smath.info/wiki/SMath%20with%20Plugins.ashx
2 users liked this post
#3 Posted: 2/6/2024 2:39:39 PM
#4 Posted: 2/6/2024 3:04:46 PM
#5 Posted: 2/6/2024 4:32:54 PM
Пример уже был на форуме: здесь.
Russia ☭ forever, Viacheslav N. Mezentsev
#6 Posted: 2/6/2024 4:44:28 PM
#7 Posted: 2/7/2024 4:42:37 PM
Russia ☭ forever, Viacheslav N. Mezentsev
1 Pages (7 items)
- New Posts
- No New Posts
