1 Pages (5 items)
MAXIMA PLUGIN expand - Messages
Dose anyone know why using the function expand of maxima dosent work? Thanks
Any example of the problem? Use the paperclip button to attach screenshots.
Martin KraskaPre-configured portable distribution of SMath Studio: https://en.smath.info/wiki/SMath%20with%20Plugins.ashx
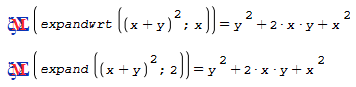
You have to use the functions correctly and you need to set optimization to None, otherwise SMath messes up the returned expression from Maxima.

Worksheet21.sm (3.74 KiB) downloaded 819 time(s).

Worksheet21.sm (3.74 KiB) downloaded 819 time(s).
Martin KraskaPre-configured portable distribution of SMath Studio: https://en.smath.info/wiki/SMath%20with%20Plugins.ashx
WroteYou have to use the functions correctly and you need to set optimization to None, otherwise SMath messes up the returned expression from Maxima.
Worksheet21.sm (3.74 KiB) downloaded 819 time(s).
GRACIAS
1 Pages (5 items)
- New Posts
- No New Posts
