How to do it in SMath?

How to do it in SMath? - Messages

#1 Posted: 2024/2/12 20:49:16
Valery Ochkov

Valery Ochkov

64 likes in 670 posts.

Group: User

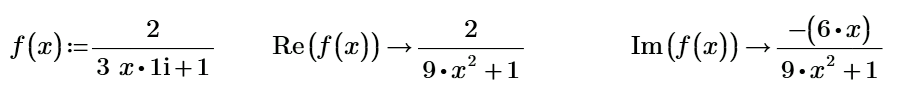
ReIm.png
#2 Posted: 2024/2/12 22:44:45
overlord

overlord

580 likes in 1,348 posts.

Group: Moderator

Natively, I don't know how it can be done.
Possibly you can't because smath symbolic engine is inferior.
Maxima can solve it. I assume maxima plugin can solve too in smath.
Maple plugin couldn't solve, maybe there is a trick I don't know.

Regards

2024-02-12_17-43.png
#3 Posted: 2024/2/13 01:33:37
Jean Giraud

Jean Giraud

983 likes in 6,866 posts.

Group: User

As suggested ... remembering Imaginary is the Derivative

Worksheet104.sm (9.66 KiB) downloaded 904 time(s). ... Please, let me know if working ... Jean
#4 Posted: 2024/2/13 02:14:07
overlord

overlord

580 likes in 1,348 posts.

Group: Moderator

Wrote

Please, let me know if working ... Jean


If anything you posted is related with question,
If any of your replies contains tiny bit fraction of correct answer,
It would be a miracle.

NO, IT IS NOT WORKING BECAUSE IT IS JUST A PLOT.

This is what Jean posted!!!
2024-02-12_21-11_1.png
1 users liked this post
Oscar Campo 2024/2/13 03:46:00
#5 Posted: 2024/2/13 03:58:14
Martin Kraska

Martin Kraska

1,308 likes in 2,221 posts.

Group: Moderator

Maybe, Re() and Im() are worth adding to MaximaTakeover? Yet wrapping in Maxima() does the trick for now.

ReIm.png
ReIm.sm (3.95 KiB) downloaded 866 time(s).
Martin KraskaPre-configured portable distribution of SMath Studio: https://en.smath.info/wiki/SMath%20with%20Plugins.ashx
1 users liked this post
Valery Ochkov 2024/2/13 14:13:00
#6 Posted: 2024/2/13 14:13:40
Valery Ochkov

Valery Ochkov

64 likes in 670 posts.

Group: User

Wrote

Maybe, Re() and Im() are worth adding to MaximaTakeover? Yet wrapping in Maxima() does the trick for now.

ReIm.png
ReIm.sm (3.95 KiB) downloaded 866 time(s).



I assumed so!
  • New Posts
  • No New Posts