how can I fill a matriX

how can I fill a matriX - Messages

#1 Posted: 2021/6/21 15:48:49
mnorena

mnorena

0 likes in 13 posts.

Group: User

Hi, can someone help me with the solucion of this problem that i have, I need to create a matrix with the vector "t" in the first column and in the first row with the values ​​of "T1, T2..T6", and the matrix has to be filled with the equation "I".

MATRIX.PNG


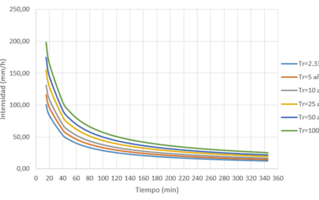
FINALLY I HAVE TO GRAPH IN THE X-AXIS THE VALUE OF "t" AND IN THE AXIS AND THE VALUES THAT I FIND OF "I" FOR EACH "T1, T2 ... T6". IS IT POSSIBLE THAT THE CURVES ARE IN THE SAME GRAPHIC? LIKE THIS

CURBA.PNG
#2 Posted: 2021/6/21 23:02:53
overlord

overlord

580 likes in 1,349 posts.

Group: Moderator

Wrote

Hi, can someone help me with the solucion of this problem that i have, I need to create a matrix with the vector "t" in the first column and in the first row with the values ​​of "T1, T2..T6", and the matrix has to be filled with the equation "I".
FINALLY I HAVE TO GRAPH IN THE X-AXIS THE VALUE OF "t" AND IN THE AXIS AND THE VALUES THAT I FIND OF "I" FOR EACH "T1, T2 ... T6". IS IT POSSIBLE THAT THE CURVES ARE IN THE SAME GRAPHIC? LIKE THIS


- Here is your table calculated with algorithm
- It is possible to plot multiple entities

Regards

matrix.sm (15.56 KiB) downloaded 639 time(s).

2021-06-22_05-01.png
#3 Posted: 2021/6/22 11:22:47
mnorena

mnorena

0 likes in 13 posts.

Group: User

Wrote

Wrote

Hi, can someone help me with the solucion of this problem that i have, I need to create a matrix with the vector "t" in the first column and in the first row with the values ​​of "T1, T2..T6", and the matrix has to be filled with the equation "I".
FINALLY I HAVE TO GRAPH IN THE X-AXIS THE VALUE OF "t" AND IN THE AXIS AND THE VALUES THAT I FIND OF "I" FOR EACH "T1, T2 ... T6". IS IT POSSIBLE THAT THE CURVES ARE IN THE SAME GRAPHIC? LIKE THIS


- Here is your table calculated with algorithm
- It is possible to plot multiple entities

Regards

matrix.sm (15.56 KiB) downloaded 639 time(s).

2021-06-22_05-01.png



THANKS FOR YOU HELP
#4 Posted: 2021/6/22 11:30:10
mnorena

mnorena

0 likes in 13 posts.

Group: User

Wrote

Wrote

Hi, can someone help me with the solucion of this problem that i have, I need to create a matrix with the vector "t" in the first column and in the first row with the values ​​of "T1, T2..T6", and the matrix has to be filled with the equation "I".
FINALLY I HAVE TO GRAPH IN THE X-AXIS THE VALUE OF "t" AND IN THE AXIS AND THE VALUES THAT I FIND OF "I" FOR EACH "T1, T2 ... T6". IS IT POSSIBLE THAT THE CURVES ARE IN THE SAME GRAPHIC? LIKE THIS


- Here is your table calculated with algorithm
- It is possible to plot multiple entities

Regards

matrix.sm (15.56 KiB) downloaded 639 time(s).

2021-06-22_05-01.png




I AM TRYING TO DO IT, BUT WHEN I CREATE THE TABLE IT DOES NOT SHOW ME THE RESULTS ONLY THE EQUATION LIKE THIS,
CAN YOU TEACH ME HOW I DO IT PLEASE??, THANK YOU

TABLA.PNG
#5 Posted: 2021/6/22 12:06:02
overlord

overlord

580 likes in 1,349 posts.

Group: Moderator

Wrote

Wrote

Wrote

Hi, can someone help me with the solucion of this problem that i have, I need to create a matrix with the vector "t" in the first column and in the first row with the values ​​of "T1, T2..T6", and the matrix has to be filled with the equation "I".
FINALLY I HAVE TO GRAPH IN THE X-AXIS THE VALUE OF "t" AND IN THE AXIS AND THE VALUES THAT I FIND OF "I" FOR EACH "T1, T2 ... T6". IS IT POSSIBLE THAT THE CURVES ARE IN THE SAME GRAPHIC? LIKE THIS


- Here is your table calculated with algorithm
- It is possible to plot multiple entities

Regards




I AM TRYING TO DO IT, BUT WHEN I CREATE THE TABLE IT DOES NOT SHOW ME THE RESULTS ONLY THE EQUATION LIKE THIS,
CAN YOU TEACH ME HOW I DO IT PLEASE??, THANK YOU


I have done nothing special. It seems your table is shown as optimization-none.
I didn't know if there is an option for this, however your pc made it possible.
Update your smath and plugins to the latest version. Watch the video below.
If it doesn't work as it is shown, then this is a bug. File a bug report.

#6 Posted: 2021/6/22 12:27:44
mnorena

mnorena

0 likes in 13 posts.

Group: User

Wrote

Wrote

Wrote

Wrote

Hi, can someone help me with the solucion of this problem that i have, I need to create a matrix with the vector "t" in the first column and in the first row with the values ​​of "T1, T2..T6", and the matrix has to be filled with the equation "I".
FINALLY I HAVE TO GRAPH IN THE X-AXIS THE VALUE OF "t" AND IN THE AXIS AND THE VALUES THAT I FIND OF "I" FOR EACH "T1, T2 ... T6". IS IT POSSIBLE THAT THE CURVES ARE IN THE SAME GRAPHIC? LIKE THIS


- Here is your table calculated with algorithm
- It is possible to plot multiple entities

Regards




I AM TRYING TO DO IT, BUT WHEN I CREATE THE TABLE IT DOES NOT SHOW ME THE RESULTS ONLY THE EQUATION LIKE THIS,
CAN YOU TEACH ME HOW I DO IT PLEASE??, THANK YOU


I have done nothing special. It seems your table is shown as optimization-none.
I didn't know if there is an option for this, however your pc made it possible.
Update your smath and plugins to the latest version. Watch the video below.
If it doesn't work as it is shown, then this is a bug. File a bug report.




I found the error, thank you so much

#7 Posted: 2021/6/22 14:20:06
Jean Giraud

Jean Giraud

983 likes in 6,866 posts.

Group: User

... updated

Page8 Marcela.sm (20.61 KiB) downloaded 694 time(s).
#8 Posted: 2021/6/22 14:37:18
overlord

overlord

580 likes in 1,349 posts.

Group: Moderator

Wrote

I found the error, thank you so much


I am just wondering, what was the error?
Could you please explain?
  • New Posts
  • No New Posts