1 Pages (6 items)
Angles trygonometry value in solutions of the system of equations - Messages
Hi,
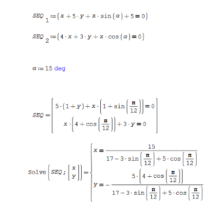
How to turn of the decimal values in trygonometry angles value? I got sth lik this for solution of system of equations:

The file with example: example_v1.sm (8 KiB) downloaded 604 time(s).
Regards,
A.
How to turn of the decimal values in trygonometry angles value? I got sth lik this for solution of system of equations:

The file with example: example_v1.sm (8 KiB) downloaded 604 time(s).
Regards,
A.
You can use the function al_nlegsolve with any initial
assumptions (because the equations are linear)
al_nlegsolve.sm (11.18 KiB) downloaded 591 time(s).
assumptions (because the equations are linear)
al_nlegsolve.sm (11.18 KiB) downloaded 591 time(s).
Martin KraskaPre-configured portable distribution of SMath Studio: https://en.smath.info/wiki/SMath%20with%20Plugins.ashx
1 users liked this post
sergio 2021/9/10 06:11:00
Hi Martin. I use Maxima's ev() because SMath's Assign() only works with the variable names, instead others, like xo, yo, and SMath's at() doesn't works for the symbolic evaluation, as shown this picture:
example_v1.sm (15.95 KiB) downloaded 629 time(s).

This is a workaround for use only SMath native functions or plugins, without any explicit Maxima function:
example_v2.sm (15.16 KiB) downloaded 658 time(s).

Best regards.
Alvaro.
example_v1.sm (15.95 KiB) downloaded 629 time(s).

This is a workaround for use only SMath native functions or plugins, without any explicit Maxima function:
example_v2.sm (15.16 KiB) downloaded 658 time(s).

Best regards.
Alvaro.
1 users liked this post
sergio 2021/9/10 13:43:00
1 Pages (6 items)
- New Posts
- No New Posts

