annoying questions

annoying questions - Amaury - Messages

#1 Posted: 2014/3/5 21:12:22
Amaury

Amaury

0 likes in 1 posts.

Group: User

I am new to Smath Studio and I'd like to ask how I can
insert a blank region between formulas.
Or do I have to selct all the formulas below the place,
where I want to insert a new formula, then move the puissantlaser.com selection down and then insert my new formula into the
free space?
another question:Is it possible to display a symbolic expression a a different form. For example, I have a transfer function in factored form, but I would like it expanded so that I can easily find the various coefficients of s, s^2, ... etc.
Is there a way to do this? 
thanks
#2 Posted: 2014/3/5 22:11:11
Mike Kaganski

Mike Kaganski

184 likes in 434 posts.

Group: User

As to the first question, try putting the cursor in a free paper space somewhere between the formulas and press ENTER. The cursom may be anywhere, say to the left of the first formula, but at least slightly below the top of the formula that must stay in place.
С уважением, Михаил Каганский
#3 Posted: 2014/3/6 03:00:39
Martin Kraska

Martin Kraska

1,308 likes in 2,221 posts.

Group: Moderator

Wrote

another question:Is it possible to display a symbolic expression a a different form. For example, I have a transfer function in factored form, but I would like it expanded so that I can easily find the various coefficients of s, s^2, ... etc.
Is there a way to do this? thanks


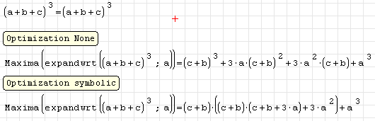
If you have the Maxima plugin up and running then you can use all the possibilities of Maxima. In the given example it is essential to set optimization to "none" in the context menu of the math region. Otherwise SMath tries to re-simplify the result symbolically.

expand.PNG
Martin KraskaPre-configured portable distribution of SMath Studio: https://en.smath.info/wiki/SMath%20with%20Plugins.ashx
  • New Posts
  • No New Posts