Wrong result when using function SUM()

Wrong result when using function SUM() - SUM() bug - Messages

#1 Posted: 2015/6/12 11:58:36
shelley

shelley

0 likes in 15 posts.

Group: User

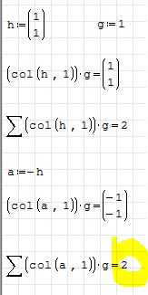
Could anyone look at this problem? The summation could not recognize the negative sign.
Please see the attached. Marked with yellow is not right.



Capture.JPG
#2 Posted: 2015/6/12 17:10:52
Radovan Omorjan

Radovan Omorjan

325 likes and 1 dislikes in 2,052 posts.

Group: Moderator

Hello,

This is again one of the weird SMath behavior regarding optimization.

Just right click on at least a:=-h region and turn on Numeric optimization

Regards,
Radovan
When Sisyphus climbed to the top of a hill, they said: "Wrong boulder!"
2 users liked this post
Davide Carpi 2015/6/12 18:04:00, ioan92 2015/6/13 06:49:00
#3 Posted: 2015/6/18 16:35:11
shelley

shelley

0 likes in 15 posts.

Group: User

Wrote

Hello,

This is again one of the weird SMath behavior regarding optimization.

Just right click on at least a:=-h region and turn on Numeric optimization

Regards,
Radovan



Thank you. It works turning on numeric
  • New Posts
  • No New Posts