Trig function yield incorrect results

Trig function yield incorrect results - Trig results incorrect value - Messages

#1 Posted: 2025/7/23 21:40:19
Matthew Steele

Matthew Steele

0 likes in 6 posts.

Group: User

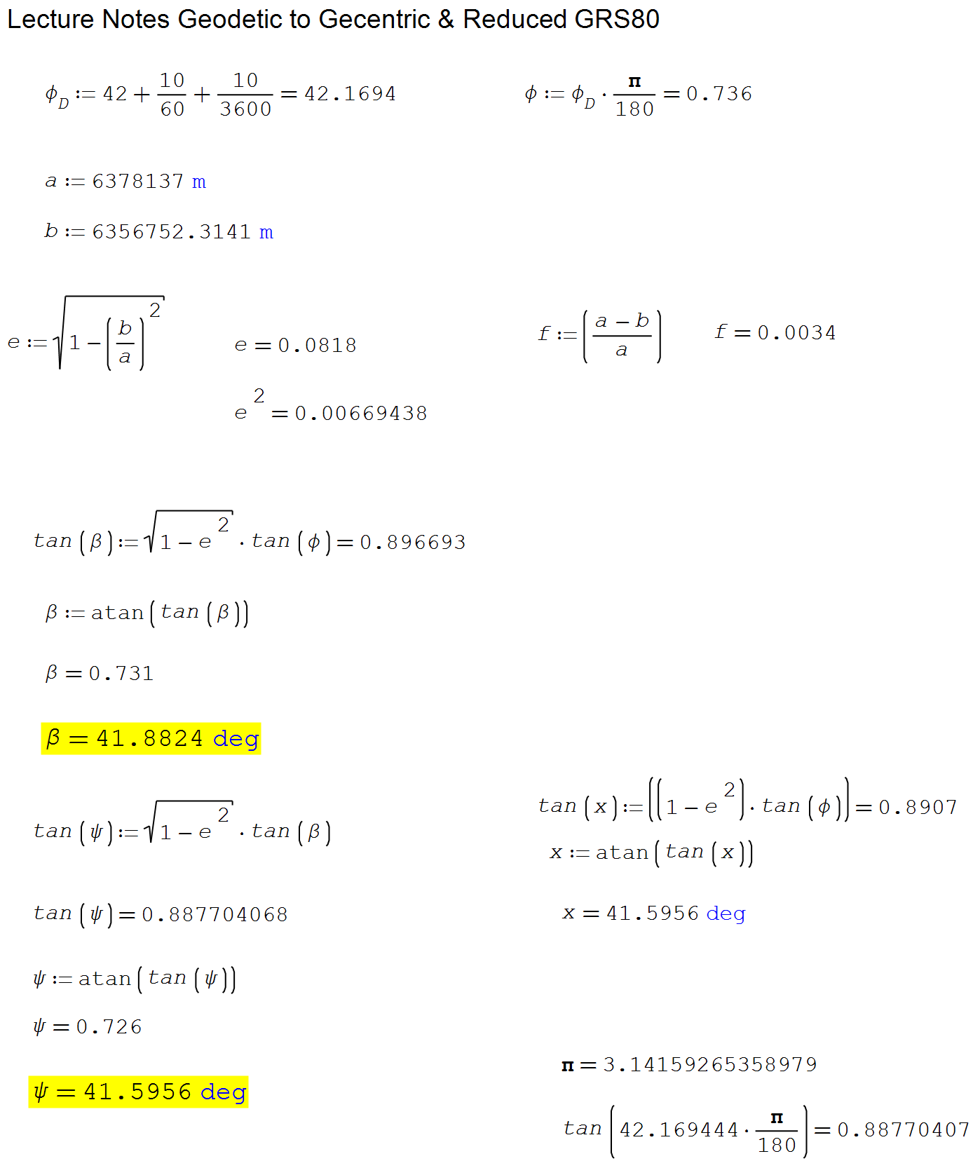
Hello,

I have been having trouble for a while with the trig functions. Please review my attachment (geodetic_to_geocentric). In the following worksheet, the psi result near the bottom is incorrect, so I used an equivalent formula to cross check the result (using "x"). The results matched exactly, but incorrectly. So, I decided to check the value of pi and then compute the tangent of the angle shown. As you can see, the result is not correct. Lastly, I opened a new worksheet (trig_test) and it produced the correct result.

The correct value for psi is: 42.03382deg by the way.

This has been happening to me quite a bit recently. After working on a sheet, the math suddenly become erroneous and I have to copy/paste to a new worksheet to continue.

Any help would be appreciated, Thanks!.

files attached...

matt

image.png

image.png
trig_test.sm (2.38 KiB) downloaded 721 time(s).geodetic_to_geocentric.sm (12.2 KiB) downloaded 728 time(s).
#2 Posted: 2025/7/23 22:18:17
Alvaro

Alvaro

1,078 likes in 1,749 posts.

Group: User

Hi Matthew. You redefine the tan function, try something like this

image.png

Also, you can use units in ϕ in the same way that you use them in β

image.png

geodetic_to_geocentric.sm (11.24 KiB) downloaded 715 time(s).

Best regards.
Alvaro.
1 users liked this post
Andrey Ivashov 2025/7/25 12:46:18
  • New Posts
  • No New Posts