1 Pages (12 items)
roots says "No real roots" - roots function does not work - Messages
Tooltip is "No real roots"
Please see the full file minimal_model_9.sm (99.55 KiB) downloaded 623 time(s).
WroteTooltip is "No real roots"
Here, "Matrix is non-invertible, Determinant = 0"
"Units don't match" for plotting T1.
Always wise to start a project units-less, to see something.
solve, roots, Findroot work on Martin.
minimal_model_9.sm (92.95 KiB) downloaded 611 time(s).
The attached is a deterministic lecture before solving.
Solve ADVANCE at(2) Read First.sm (215.51 KiB) downloaded 620 time(s).
Solve ADVANCE at(2) Read First.sm (215.51 KiB) downloaded 620 time(s).
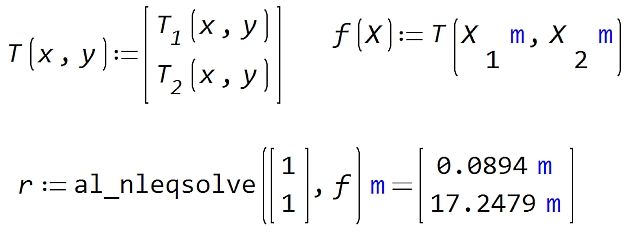
Hi. T.1(x,y) and T.2(x,y) represent surfaces. So T = [T.1,T.2] is the intersection of two surfaces. If the intersection is only a point, that's good look. But get a numerical procedure that catch it, that's square good look. Fortunately, SMath have an amazing numerical solver into a plugin. Please try this:

Best regards.
Alvaro.
You need to install the plugin: https://en.smath.com/forum/yaf_postst1775_AlgLib-3-1x.aspx

Best regards.
Alvaro.
You need to install the plugin: https://en.smath.com/forum/yaf_postst1775_AlgLib-3-1x.aspx
Again a version with generic units support. Note that in case of non-unique solutions the result depends on the initial guess.
minimal_model_9_Kr.sm (99.32 KiB) downloaded 600 time(s).
![2020-12-28 17_34_43-SMath Studio - [minimal_model_9_Kr.sm_].png](/zh-Hans-CN/files/Download/PZTNc5/2020-12-28-17_34_43-SMath-Studio---[minimal_model_9_Kr.sm_].png)
minimal_model_9_Kr.sm (99.32 KiB) downloaded 600 time(s).
![2020-12-28 17_34_43-SMath Studio - [minimal_model_9_Kr.sm_].png](/zh-Hans-CN/files/Download/PZTNc5/2020-12-28-17_34_43-SMath-Studio---[minimal_model_9_Kr.sm_].png)
Martin KraskaPre-configured portable distribution of SMath Studio: https://en.smath.info/wiki/SMath%20with%20Plugins.ashx
WroteWroteTooltip is "No real roots"
Here, "Matrix is non-invertible, Determinant = 0"
"Units don't match" for plotting T1.
Always wise to start a project units-less, to see something.
solve, roots, Findroot work on Martin.
minimal_model_9.sm (92.95 KiB) downloaded 611 time(s).
Sorry, I cannot open your file, one plugin is incompatible with my version.
Could you explain a little what is possible to do there with that roots function ?
I want to thank everyone who answered
I really ignored that guess values, but now, after your answers
I put the pair 0.01 and 10 for x and y in the third parameter
for the roots function and it really worked normally this time.
:-)
WroteSorry, I cannot open your file, one plugin is incompatible with my version.
Could you explain a little what is possible to do there with that roots function ?
That is really a bug version(s). Web Masters may want to plug in bug list.
"roots" works as given in my SS 6179.
I guess Martin will give more insight about that solver.
... up to You if you want to reconciliate the project.
If you put unit 'm', that assumes all parameters are conform,
including the constant of gravity. Then, make it unit-less
in order to plot T1(x,y), T2(x,y) ... from there then, easy
to tabulate results at will and export.
Just an offer from which you may gain more from Smath.
If you put unit 'm', that assumes all parameters are conform,
including the constant of gravity. Then, make it unit-less
in order to plot T1(x,y), T2(x,y) ... from there then, easy
to tabulate results at will and export.
Just an offer from which you may gain more from Smath.
That's what I meant about a math project, i.e: units-less.
From T1(x,y) plot, you can decide what makes sense "solving".
As you can see, you can have 2, 4, 6 solutions
or by ranging solve correctly, only one solution.
You have to see the lobe system to appropriately range.
Check that your temperatures match, I just zapped them all
however, you had some °K, °C ... else check too.
That project is Chinese to me, but not the end objective.
Add the companion T2(x,y), follow the guidance.
At this point: monkey see, monkey can QA
minimal_model UNITS-LESS.sm (114.6 KiB) downloaded 605 time(s).
From T1(x,y) plot, you can decide what makes sense "solving".
As you can see, you can have 2, 4, 6 solutions
or by ranging solve correctly, only one solution.
You have to see the lobe system to appropriately range.
Check that your temperatures match, I just zapped them all
however, you had some °K, °C ... else check too.
That project is Chinese to me, but not the end objective.
Add the companion T2(x,y), follow the guidance.
At this point: monkey see, monkey can QA
minimal_model UNITS-LESS.sm (114.6 KiB) downloaded 605 time(s).
1 Pages (12 items)
- New Posts
- No New Posts