No Real Roots Issue - Messages
I am a bit stumped with a what is probably a simple problem. I have a root solve in Mathcad that I just cant get to work in Smath, I have tried what I think is correct ways, but still not working, see below for example:
I have also tried stripping out the units, but still no luck
Hoping someone has the simple solution.
Ian
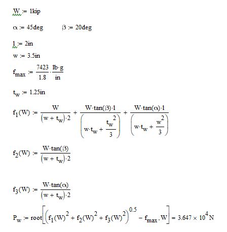
WroteHi,
I am a bit stumped with a what is probably a simple problem. I have a root solve in Mathcad that I just cant get to work in Smath, I have tried what I think is correct ways, but still not working, see below for example:
I have also tried stripping out the units, but still no luck
Hoping someone has the simple solution.
Ian
I have tried on Mathcad and it didn't work either.
Obviously there is a mistake with the formula.
You can't add kg*N/s^2 with kg/s^2. Units mismatch.
But if you divide the givens you can get the correct answer.
If this approach is true of course since we don't have more information.
Regards.

Are you being sarcastic about my comment?
WroteJean, direct question;
Are you being sarcastic about my comment?
I have removed my comment.
In my times, maths were unitless working well.
Now, put units in maths ... red results.
WroteHi,
I am a bit stumped with a what is probably a simple problem. I have a root solve in Mathcad that I just cant get to work in Smath, I have tried what I think is correct ways, but still not working, see below for example:
I have also tried stripping out the units, but still no luck
Hoping someone has the simple solution.
Ian
Hi. Your setup is correct for Mathcad, but unfortunately SMath's solvers do not works like in Mathcad, and needs some help for use units.
SolveWithUnits.sm (16.17 KiB) downloaded 569 time(s).

Best regards.
Alvaro
Thanks for the help with this, I like the solution by Alvaro, seems the most elegant.
WroteI have checked with changing all inputs;
somehow the two formula give same calculation every time.
Regards
Hi Overlord. You found an amazing symbolic solution for the original problem. I can't explain why, but my guess is that f1, f2 and f3 must to be related with the directors cosines or something like that.
Maple shows that your solution and the symbolic solution are the same, but must to force some "not-always-true" reductions in maple, with the command "maple(simplify(expression,symbolic))"
SolveWithUnits overlord.sm (35.13 KiB) downloaded 575 time(s).
SolveWithUnits overlord.pdf (97.32 KiB) downloaded 368 time(s).
Best regards.
Alvaro.

solve.sm (9.99 KiB) downloaded 574 time(s).
- New Posts
- No New Posts
