1 страниц (14 вхождений)
solve & roots with units - Сообщения
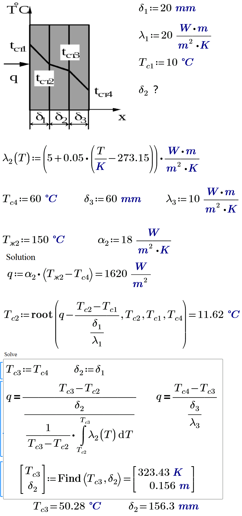
WroteI can it solve in Mathcad - see please mcdx and pdf files
I try solve it (heat transfer) in SMath - see sm file
Help please
SMath symbolic solving of integration is not capable as Mathcad.
Thus integrals can't be used with numeric solvers.
However, you can use a little trick to solve them.
Using maple or maxima plugins is the key.
Here is your problem solved with various ways, roots() and Findroot().
Regards
solvewithunits.sm (23,4 КиБ) скачан 1087 раз(а).
3 пользователям понравился этот пост
Hi. The attached have an al_nleqsol wrapper for a Mathcad block with units, that can accept SMath's integrals too.

Kerimov-Cvetkov-Velichko-1-7 - nSol.sm (17,97 КиБ) скачан 1118 раз(а).
Best regards.
Alvaro.
Kerimov-Cvetkov-Velichko-1-7 - nSol.sm (17,97 КиБ) скачан 1118 раз(а).
Best regards.
Alvaro.
2 пользователям понравился этот пост
2 пользователям понравился этот пост
Hello Valery,
In some application(s), you can associate FindRoot with epsilon.
Solve Diophantine Chemical Balance epsilon.sm (106,1 КиБ) скачан 1120 раз(а).
In some application(s), you can associate FindRoot with epsilon.
Solve Diophantine Chemical Balance epsilon.sm (106,1 КиБ) скачан 1120 раз(а).
1 пользователям понравился этот пост
Valery Ochkov 05.06.2023 11:26:00
Please help, why can't find root for this simple equation?
Файл не найден.Файл не найден.
root.sm (20,2 КиБ) скачан 1044 раз(а).
Файл не найден.Файл не найден.
root.sm (20,2 КиБ) скачан 1044 раз(а).
WrotePlease help,
why can't find root for this simple equation ?
roots solves wrt scalar function(s)
In this example, both functions are scalar wrt 'x'.
Try ... roots[(sin(x)-Gamma(x),x,1]
'x not defined' ... Gamma(x) is not scalar wrt 'x'
Few more numerical functions are not scalar
erf(x), erf(x,n) ... erfc(x), erfc(x,n) ...
WroteTry ... roots[(sin(x)-Gamma(x),x,1]
In that case and similar ones,
RootSecant algorithm will spits out 15 decimals, instantaneous.
Cheers ... Jean.
WroteWrotewhy can't find root for this simple equation?
Because there aren't unknows
Thanks Davide.
Now I put "N" as unknown in the Eq. But it can't be solved either.

root.sm (19,41 КиБ) скачан 1035 раз(а).
You have to play a little with the precision, especially if there are units involved; in this case, seems that 10^-3 mm is a stable target (10^-2 works too, but in some case it returns the guess value, meaning that is "close enough" for the algorithm - you can see in the plot that 0kN to 200kN is in +0.02/-0.02mm range)
![2023-06-26 15_55_45-SMath Solver - [root_r1.sm].png](/ru-RU/files/Download/KcnuBb/2023-06-26-15_55_45-SMath-Solver---[root_r1.sm].png)
root_r1.sm (24,03 КиБ) скачан 1074 раз(а).
![2023-06-26 15_55_45-SMath Solver - [root_r1.sm].png](/ru-RU/files/Download/KcnuBb/2023-06-26-15_55_45-SMath-Solver---[root_r1.sm].png)
root_r1.sm (24,03 КиБ) скачан 1074 раз(а).
If you like my plugins please consider to support the program buying a license; for personal contributions to me: paypal.me/dcprojects
1 пользователям понравился этот пост
netsonicyxf 26.06.2023 12:18:00
1 страниц (14 вхождений)
- Новые сообщения
- Нет новых сообщений



![2023-06-26 10_49_28-SMath Solver - [root.sm_].png](/ru-RU/files/Download/M4RRUF/2023-06-26-10_49_28-SMath-Solver---[root.sm_].png)