1 страниц (5 вхождений)
MAXIMA PLUGIN expand - Сообщения
Dose anyone know why using the function expand of maxima dosent work? Thanks
Any example of the problem? Use the paperclip button to attach screenshots.
Martin KraskaPre-configured portable distribution of SMath Studio: https://en.smath.info/wiki/SMath%20with%20Plugins.ashx
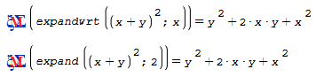
You have to use the functions correctly and you need to set optimization to None, otherwise SMath messes up the returned expression from Maxima.

Worksheet21.sm (3,74 КиБ) скачан 917 раз(а).

Worksheet21.sm (3,74 КиБ) скачан 917 раз(а).
Martin KraskaPre-configured portable distribution of SMath Studio: https://en.smath.info/wiki/SMath%20with%20Plugins.ashx
WroteYou have to use the functions correctly and you need to set optimization to None, otherwise SMath messes up the returned expression from Maxima.
Worksheet21.sm (3,74 КиБ) скачан 917 раз(а).
GRACIAS
1 страниц (5 вхождений)
- Новые сообщения
- Нет новых сообщений
