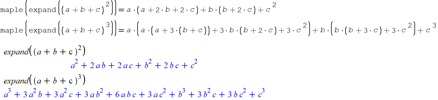
Форум SMath SMath Studio Questions Expand 1 страниц (2 вхождений) Expand - How to get - Сообщения К последнему сообщению #1 Опубликовано: 05.08.2023 03:22:50 Valery Ochkov 62 сообщений из 666 понравились пользователям. Группа: User How in SMath get the answer as in MapleThanks #2 Опубликовано: 05.08.2023 05:47:20 Вячеслав Мезенцев 1 526 сообщений из 1 836 понравились пользователям. Группа: Moderator Russia ☭ forever, Viacheslav N. Mezentsev 1 пользователям понравился этот постValery Ochkov 05.08.2023 07:02:00 1 страниц (2 вхождений) Новые сообщения Нет новых сообщений