1 страниц (7 вхождений)
How to solve this symbolical - Maple in SMath - Сообщения
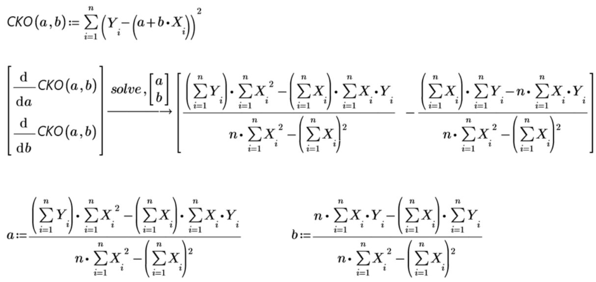
Hi. This is a way.
linregress.sm (17,05 КиБ) скачан 1027 раз(а).
linregress.pdf (85,29 КиБ) скачан 655 раз(а).
Best regards.
Alvaro.
linregress.sm (17,05 КиБ) скачан 1027 раз(а).
linregress.pdf (85,29 КиБ) скачан 655 раз(а).
Best regards.
Alvaro.
1 пользователям понравился этот пост
Valery Ochkov 09.07.2023 03:51:00
WroteHi. This is a way.
linregress.sm (17,05 КиБ) скачан 1027 раз(а).
linregress.pdf (85,29 КиБ) скачан 655 раз(а).
Best regards.
Alvaro.
Thanks!
But what is it?
1 C:=Sum...
2 ans:=...
Wrote...
Thanks!
But what is it?
1 C:=Sum...
2 ans:=...
It's a maple component from the maple tools plugin. You must to have it at the insert menu:

Best regards.
Alvaro.
1 страниц (7 вхождений)
- Новые сообщения
- Нет новых сообщений



